Figure 6

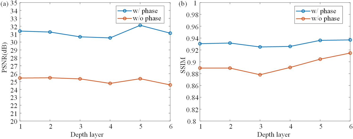
Average PSNR and SSIM of each depth layers using proposed method with learned phase (w/phase) and traditional method with zero phase (w/o phase).

Average PSNR and SSIM of each depth layers using proposed method with learned phase (w/phase) and traditional method with zero phase (w/o phase).