Figure 6

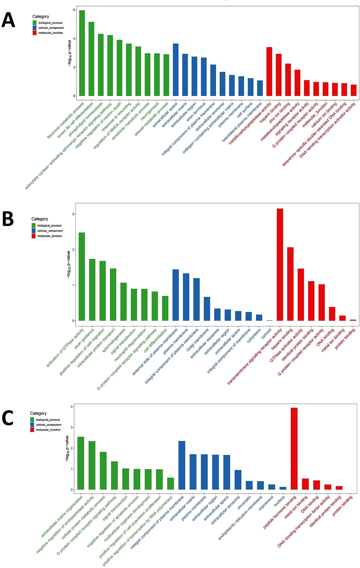
GO enrichment analysis of DEGs between (A) Co-exposure and MOCK. (B) Co-exposure and PM2.5 exposure. (C) Co-exposure and H3N2 virus exposure (Top 30 GO term).

GO enrichment analysis of DEGs between (A) Co-exposure and MOCK. (B) Co-exposure and PM2.5 exposure. (C) Co-exposure and H3N2 virus exposure (Top 30 GO term).