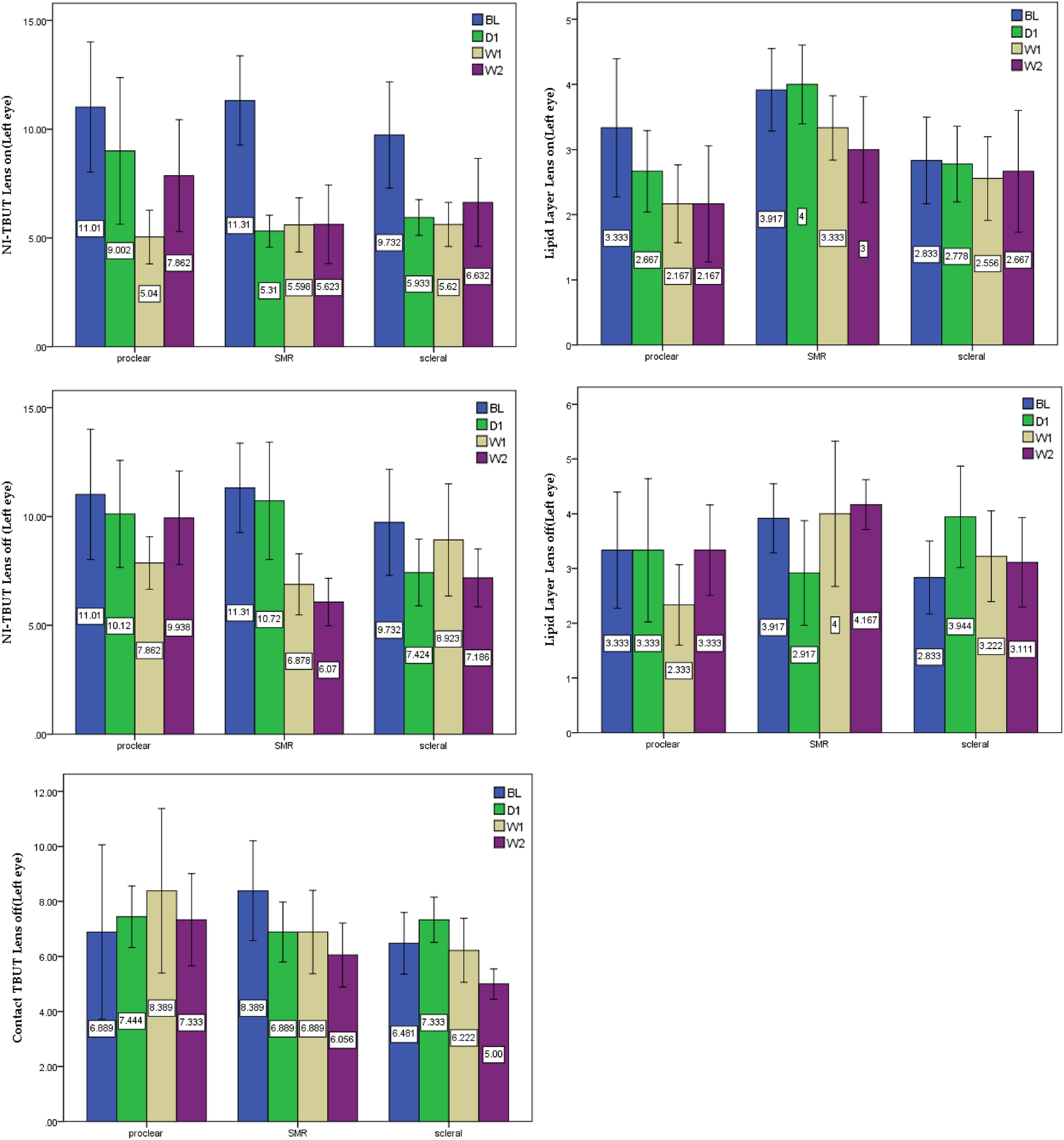
Figure 2

Tear changes of NI-TBUT, lipid-layer thickness, and Contact-TBUT between the three lenses and four times of measurement.

Tear changes of NI-TBUT, lipid-layer thickness, and Contact-TBUT between the three lenses and four times of measurement.