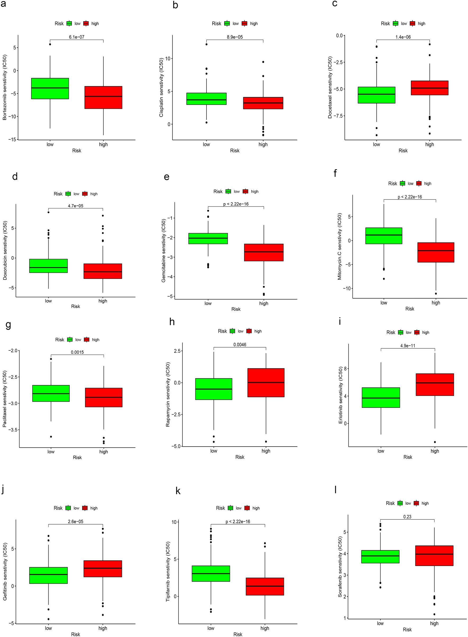
Figure 10

Comparison of the sensitivity of the low- and high-risk groups to chemotherapeutic and targeted drugs. (a–h) Estimated IC50 of chemotherapeutic drugs Bortezomib, Cisplatin, Docetaxel, Doxorubicin, Gemcitabine, Mitomycin.C, Paclitaxel and Rapamycin in the low- and high-risk groups. (i–l) Estimated IC50 of targeted drugs Erlotinib, Gefitinib, Tipifarnib and Sorafenib in the low- and high-risk groups. IC50 half-maximal inhibitory concentration.