Figure 11
From: Development of an advanced velocity modulator for a portable Mössbauer spectrometer

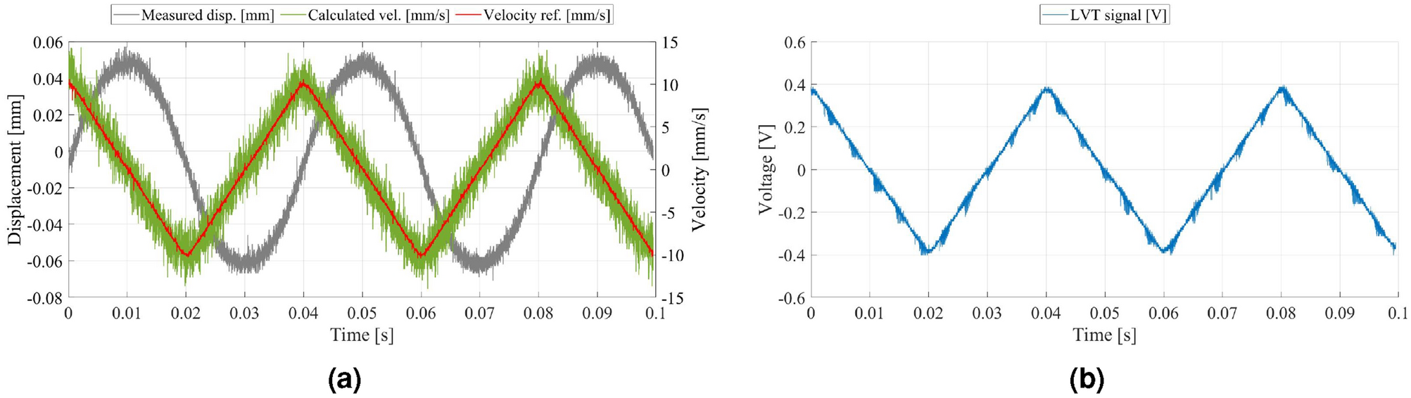
Experimental results. (a) Feedback control result. (b) LVT signal.
From: Development of an advanced velocity modulator for a portable Mössbauer spectrometer

Experimental results. (a) Feedback control result. (b) LVT signal.