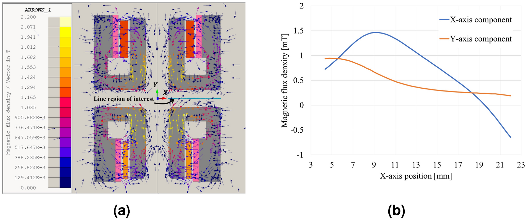
Figure 6
From: Development of an advanced velocity modulator for a portable Mössbauer spectrometer

Simulation result of magnetic shielding. (a) Magnetic flux density distribution. (b) Magnetic flux density in the line region of interest (VCM–LVT middle line).