Figure 2
From: Prediction of fetal RR intervals from maternal factors using machine learning models

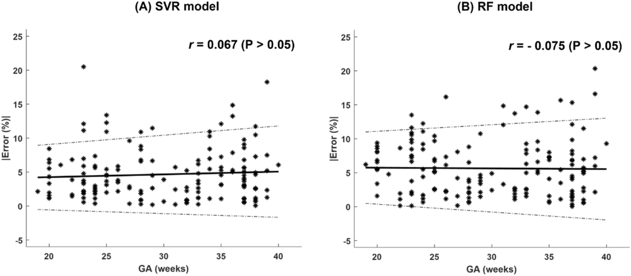
Absolute error percentage versus gestational age (GA). (A) support vector regression (SVR) model. (B) Random forest (RF) model.
From: Prediction of fetal RR intervals from maternal factors using machine learning models

Absolute error percentage versus gestational age (GA). (A) support vector regression (SVR) model. (B) Random forest (RF) model.