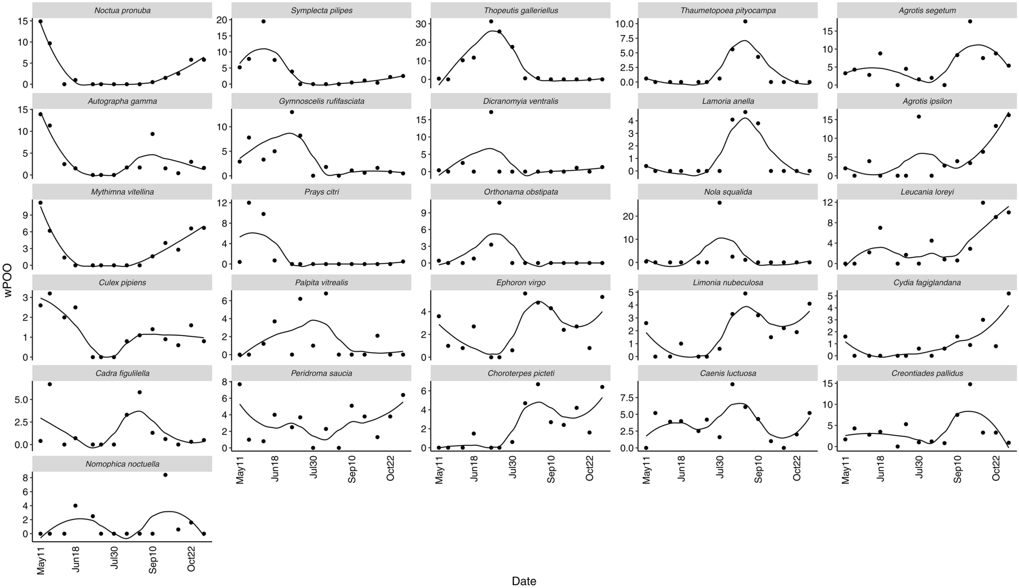
Figure 3
From: Aerospace-foraging bats eat seasonably across varying habitats

Observed wPOO values of 26 species selected from the canonical and uncanonical axes of the db-RDA: the points represent the observed wPOO values, and the trend is represented with LOESS smoother (span 0.7). Plots are ordered roughly according to the seasonality of the consumption peak (from left to right) and the range of wPOO values (from top to bottom).