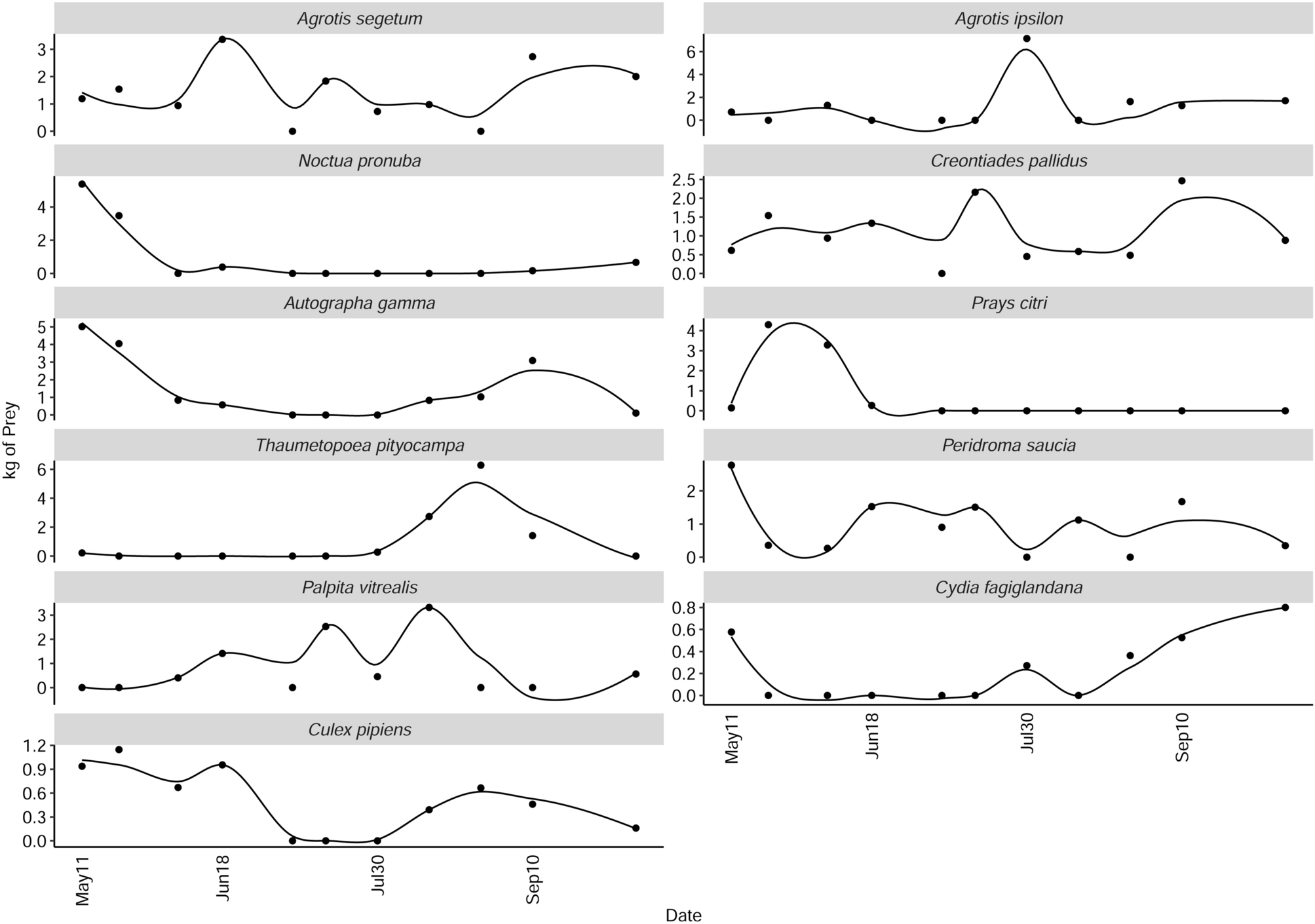
Figure 7
From: Aerospace-foraging bats eat seasonably across varying habitats

Estimated quantities of pest species and disease vectors consumed, in kilograms, throughout the sampling season. The dots represent the estimations derived from the observed wPOO. The line represents a LOESS smoother (span 0.5).