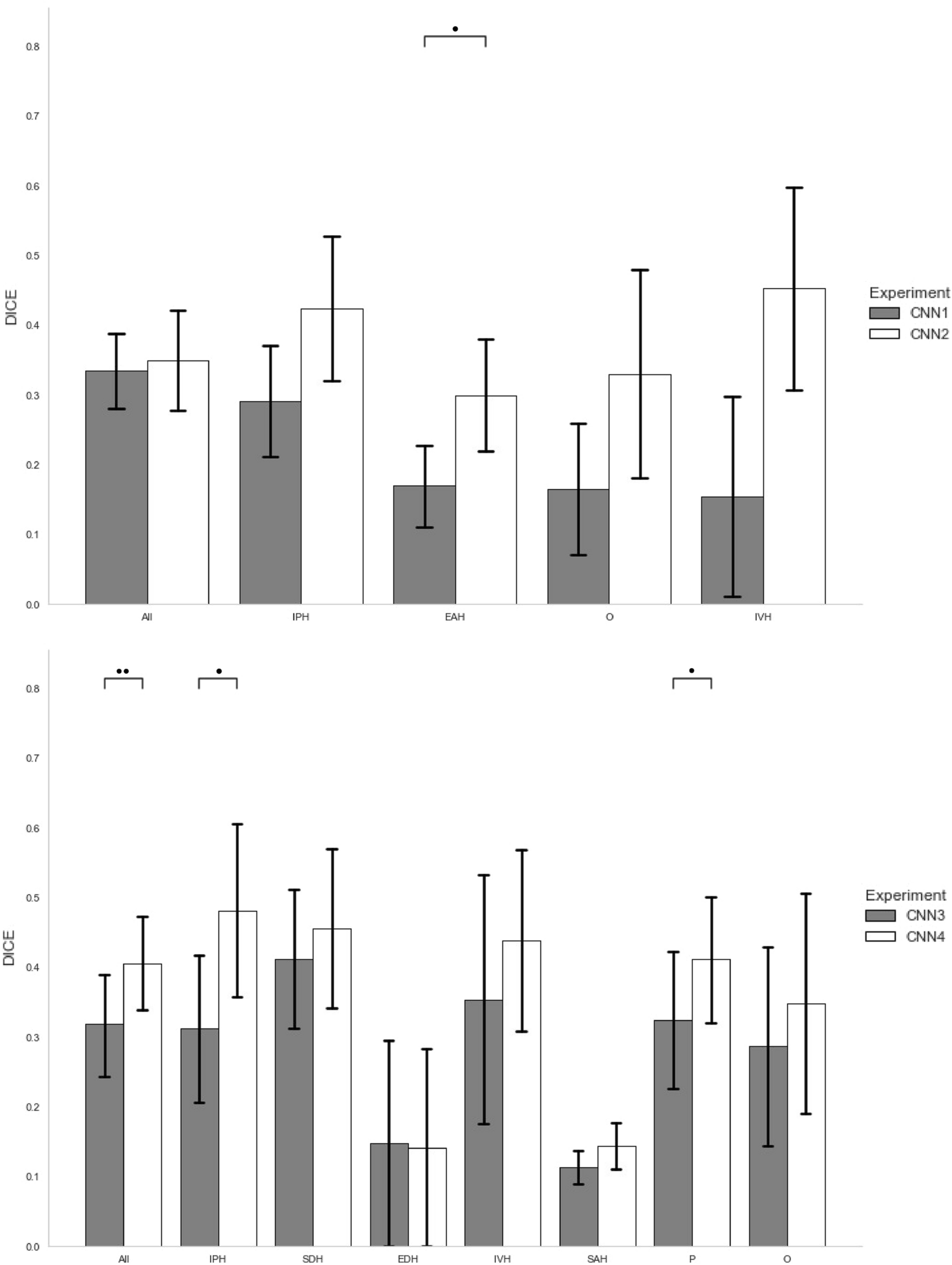
Figure 4

Barplots of the DICE scores (mean and standard error) computed on each lesion and on overall lesions between automatic and manual segmentations on Dataset2 (12 patients—12 CT-scans). Upper part shows the comparison of CNN1 (grey) and CNN2 (white). Lower part shows the comparison of CNN3 (grey) and CNN4 (white). Significance was assessed with non-parametric two-side Wilcoxon tests.*p < 0.05, **p-value < 0.01.