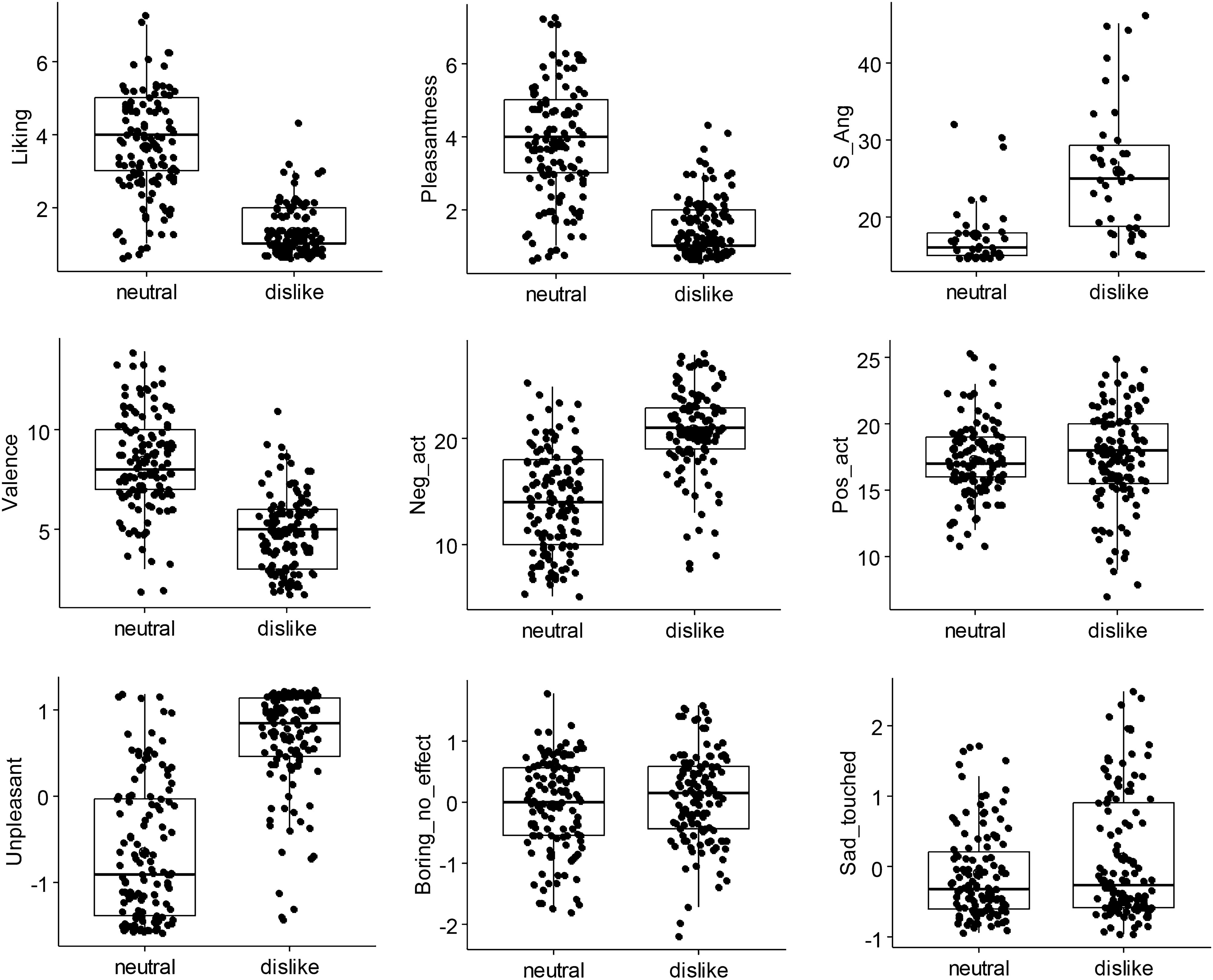
Figure 4

Boxplots of behavioral ratings for neutral and disliked music with liking and pleasantness ratings, state anger (sum score; upper row), mood (sum scores; middle row), and latent variables of music-evoked feelings (factor scores; bottom row).