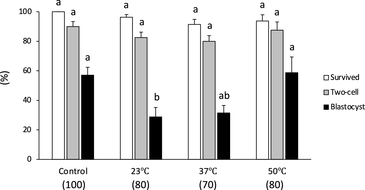
Figure 1

Survival and in vitro development of vitrified one-cell embryos (15 μL sample volume) warmed with sucrose solution at 23, 37, or 50 °C. The warming rates were 29,930 °C/min, 38,780 °C/min, and 68,850 °C/min, respectively. Each bar indicates the percentage of embryos surviving (open bars), developing to the two-cell stage (shaded bars), and developing to the blastocyst stage (closed bars) after cryopreservation (N = 8–10 experimental runs); numbers in parentheses indicate the number of one-cell embryos examined. Data are shown as means ± SEM. Different lowercase letters indicate a significant difference at P < 0.05.