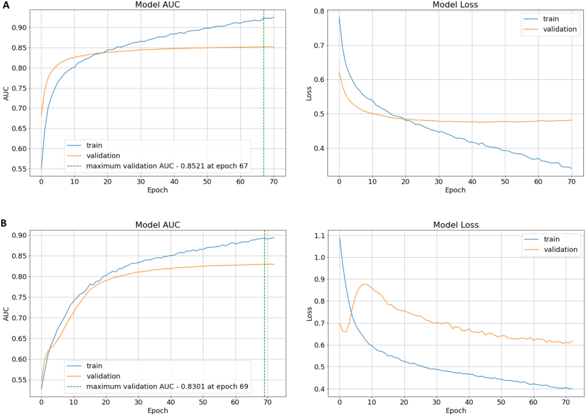
Figure 8

Plots of AUC and loss for the training progress of the proposed model on the two training sets: (A) TR1115 train set (achieving an AUC of 0.8521 on the validation set), and (B) TR640 train set (achieving an AUC of 0.8301 on the validation set).