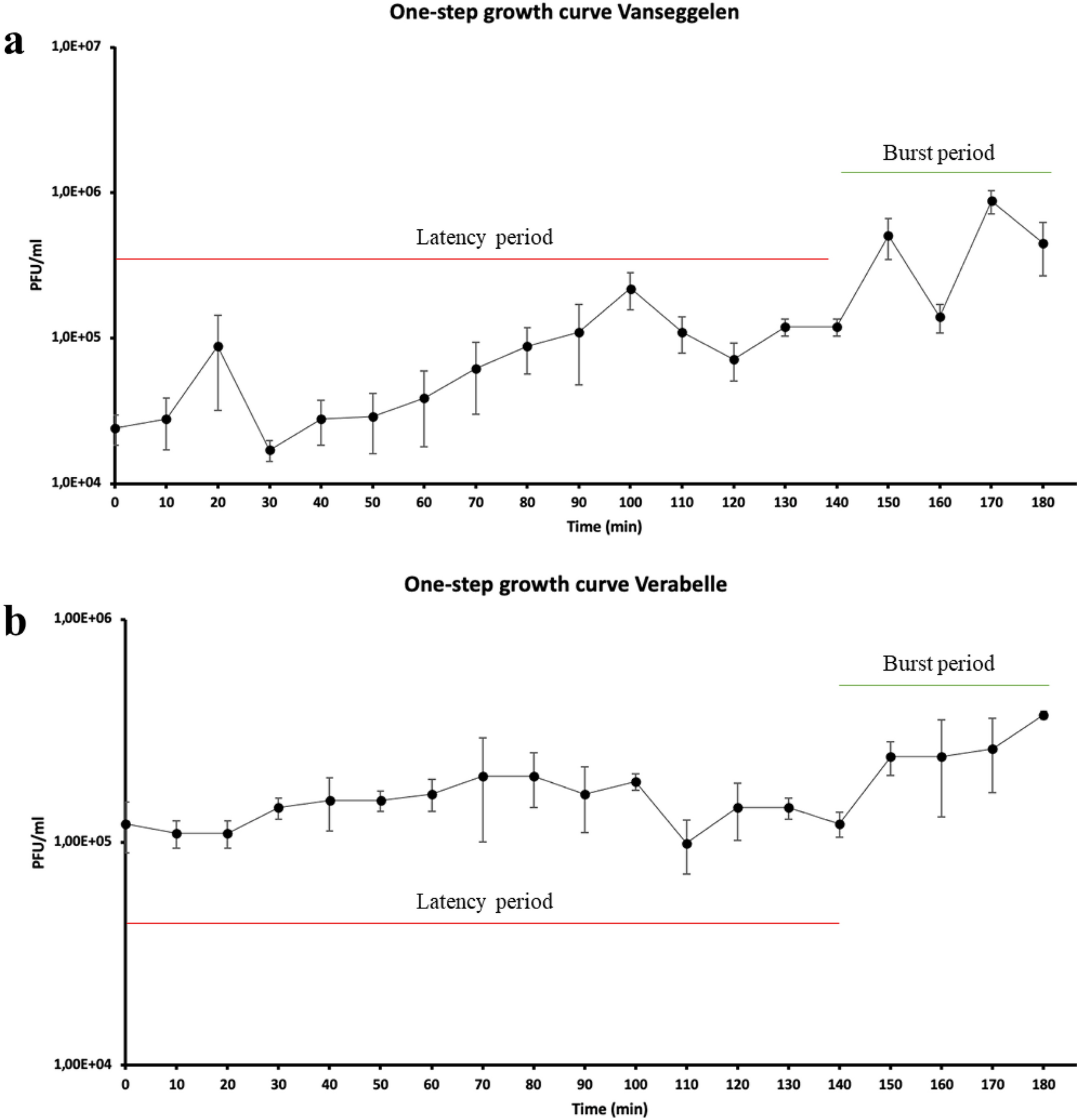
Figure 2

One-step growth curves of Vanseggelen and Verabelle at MOI = 0.01. (a) Vanseggelen had a latent period of 140 min and a total burst size of 17 virions per cell. (b) Verabelle had a latent period of 140 min and a total burst size of 8 virions per cell.