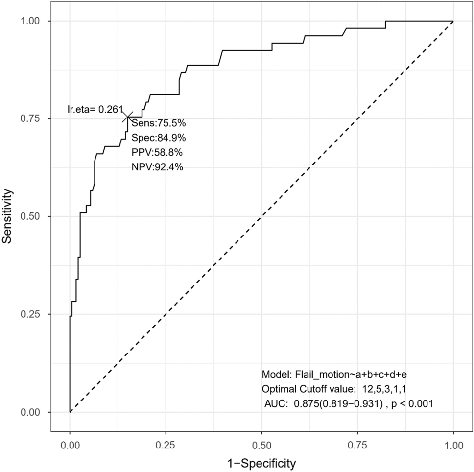
Figure 5

The accuracy of a multivariable logistic regression model for predicting flail motion. (a): total number of fractured ribs (simple + segmental); (b): total number of fractured ribs with Grade III displacement (simple + segmental); (c): number of segmental rib fractures with Grade III displacement; (d): laterally located primary fracture line; (e): the anterior-lateral type of flail segment.