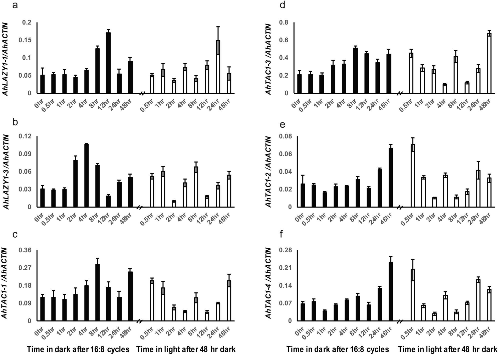
Figure 7

Expression patterns of AhIGTs under continuous darkness and light; Dark and light conditions represented by black and white columns, respectively. Error bars represent the standard deviation (SD).

Expression patterns of AhIGTs under continuous darkness and light; Dark and light conditions represented by black and white columns, respectively. Error bars represent the standard deviation (SD).