Figure 7
From: PBK correlates with prognosis, immune escape and drug response in LUAD

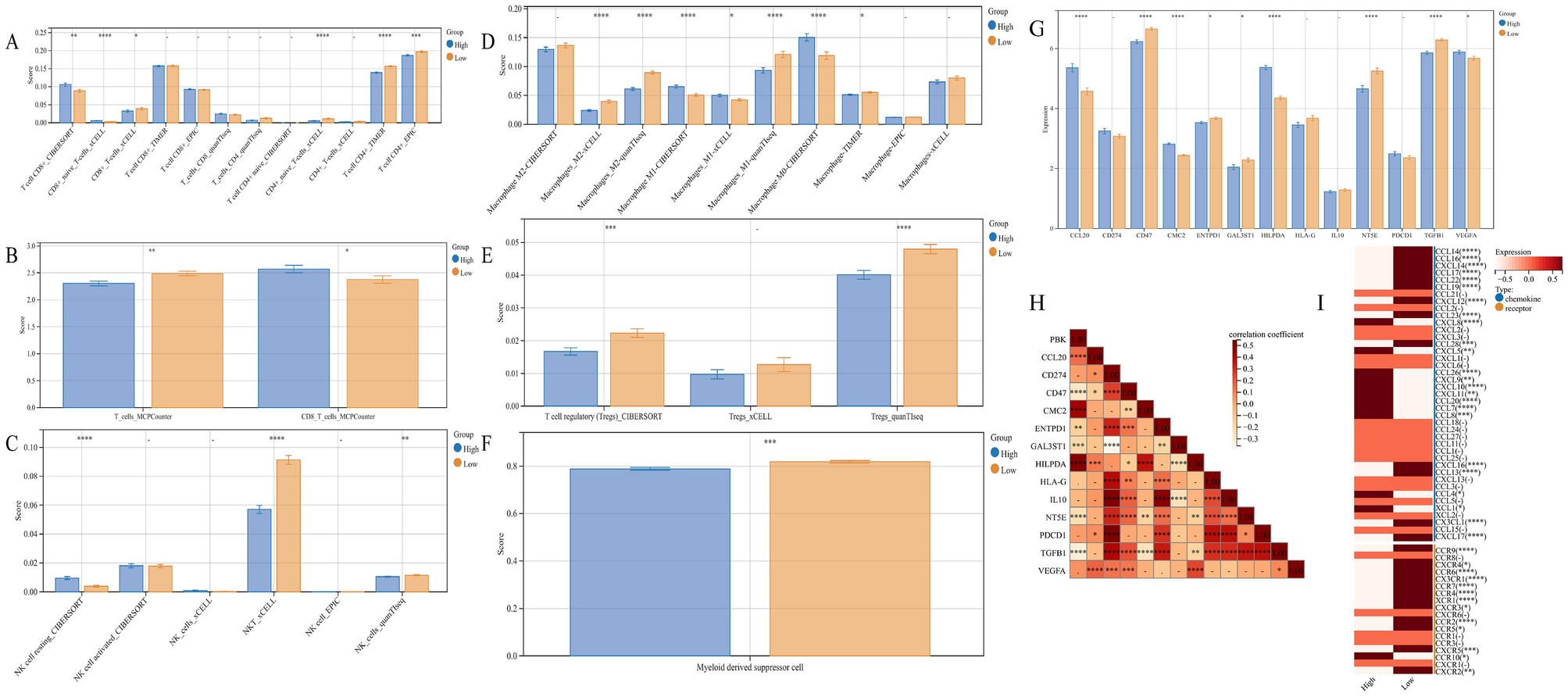
(A–C) Infiltration distribution of T cell subpopulations and NK cell subpopulations associated with antitumor immunity in PBK high and low table groups. (D–F) Infiltration distribution of Macrophages subpopulations, Treg cells and MDSC associated with immunosuppression in PBK high and low table groups. (G,H) Expression levels of some genes associated with tumor immune escape and correlation analysis. (I) Relative expression levels of chemokines and receptors in PBK high and low expression groups. ***P < 0.001; **0.001 < P < 0.01; *0.01 < P < 0.05; –: P > 0.05.