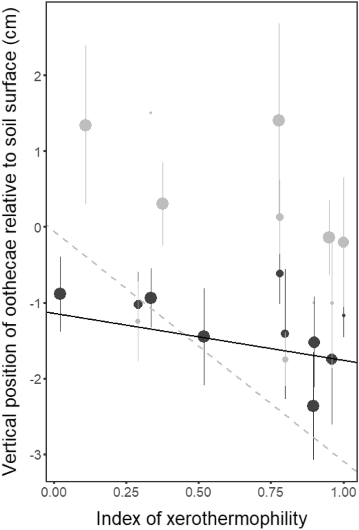
Figure 3

Relationship between vertical position of oothecae and species index of xerothermophility. Each dot represents mean vertical position of oothecae laid by one species (error bars represent ± SD). Bare ground-laid (dark grey) and tussocks-laid (light grey) oothecae are shown separately. Dot size represents species’ affinity to the given substrate type. The full line represents the phylogenetically corrected significant relationship between the vertical position of oothecae and the index of xerothermophility for tussocks-laid oothecae (p = 0.019). The dashed line represents the same but only marginally significant relationship for bare ground-laid oothecae (p = 0.079). The zero at the y-axis refers to the soil surface. Thus, positive values are above the ground, negative bellow the ground.