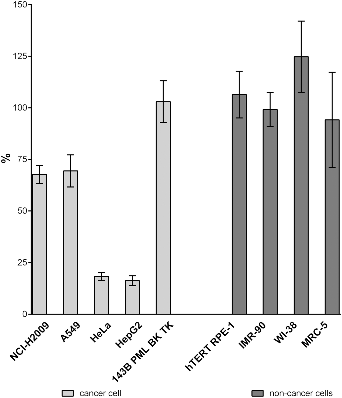
Figure 3

Impact of THU on EdC conversion in various cell lines. The data are related to the control (100%), untreated samples. The data are presented as the mean values ± SD.

Impact of THU on EdC conversion in various cell lines. The data are related to the control (100%), untreated samples. The data are presented as the mean values ± SD.