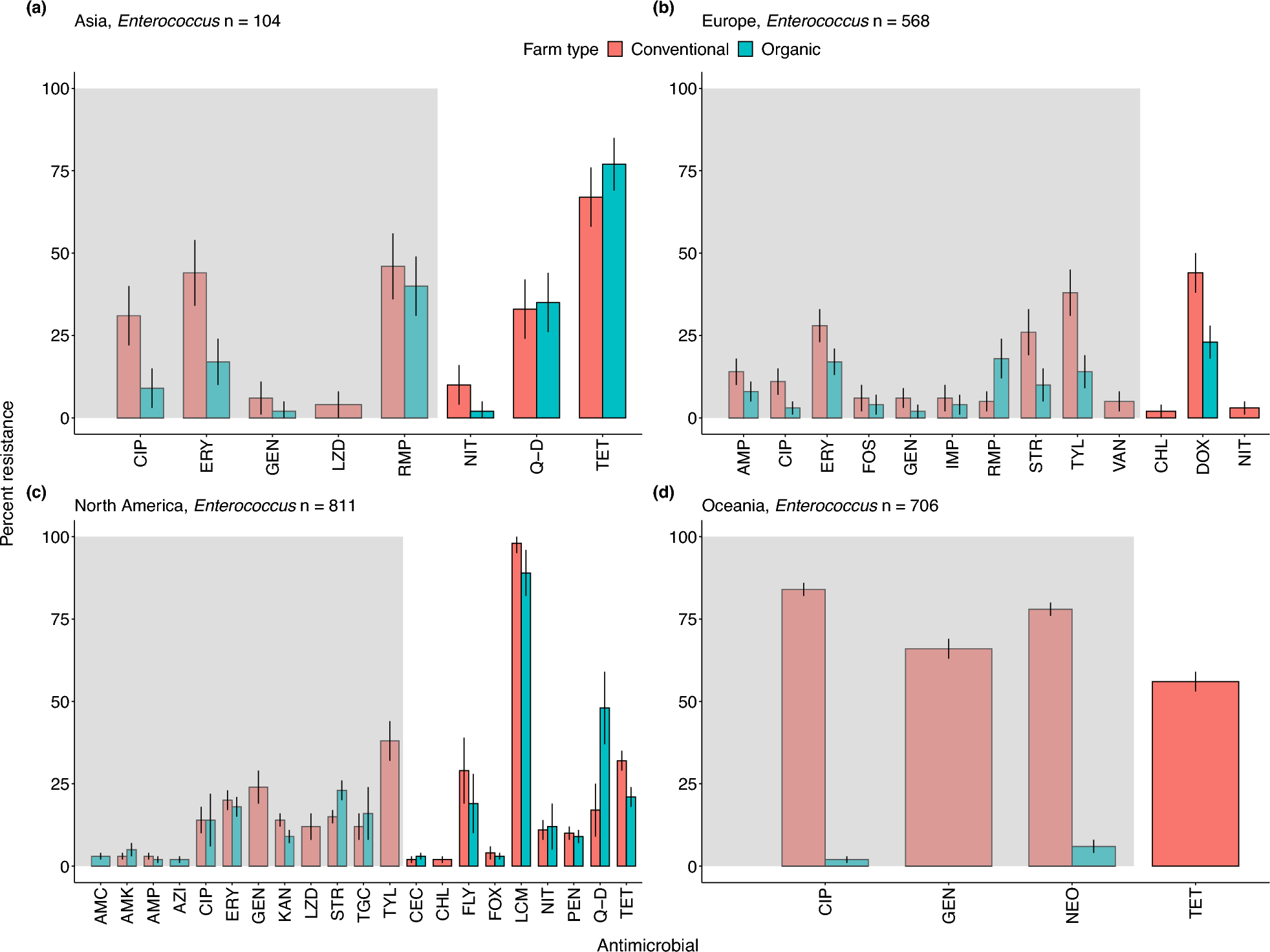
Figure 6
From: Global trends in antimicrobial resistance on organic and conventional farms

Patterns of antimicrobial resistance in Enterococcus. The prevalence of antimicrobial resistance is shown for the number of isolates (n) examined on organic and conventional farms in each geographic region. We included studies with at least 10 isolates. (a) Asia: Enterococcus, n = 104, (b) Europe: n = 568, (c) North America: n = 811, (d) Oceania: n = 706. Data represent the mean \(\pm\) 95% confidence intervals. The grey shading indicates antimicrobials classified as critically important; the unshaded region indicates highly important antimicrobials. For drug acronyms, see Supplementary Table S2.