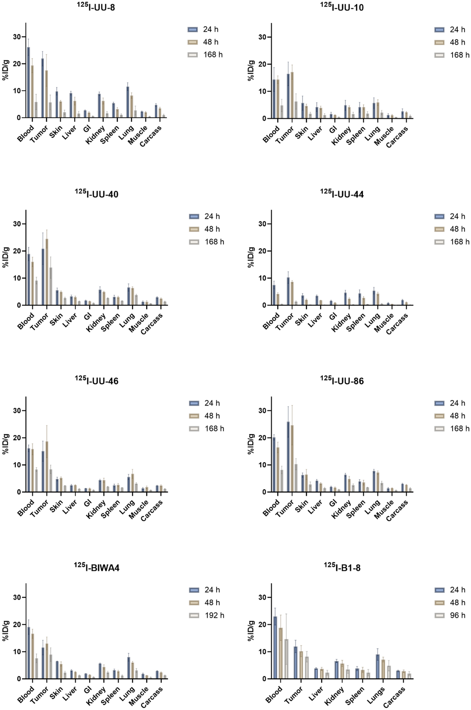
Figure 3

Biodistribution in mice carrying ACT-1 xenografts of top six 125I-UU IgG4 antibodies at 24 h, 48 h and 168 h p.i., 125I-BIWA4 (positive control) at 24 h, 48 h and 192 h p.i. and 125I-B1-8 (negative isotope control) at 24 h, 48 h and 96 h p.i. Error bars represent SD, n ≥ 3 per time point and group.