Figure 5
From: Research on nonlinear dynamic characteristics of high-speed gear in two-speed transmission system

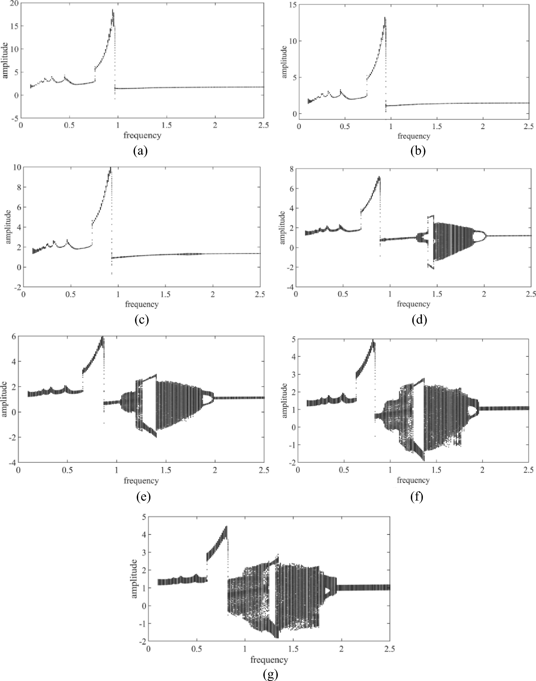
Influence of dynamic friction coefficient of friction clutch on bifurcation characteristics of internal gear ring. (a) μ = 0.17, (b) μ = 0.16, (c) μ = 0.15, (d) μ = 0.14, (e) μ = 0.13, (f) μ = 0.12, (g) μ = 0.11.