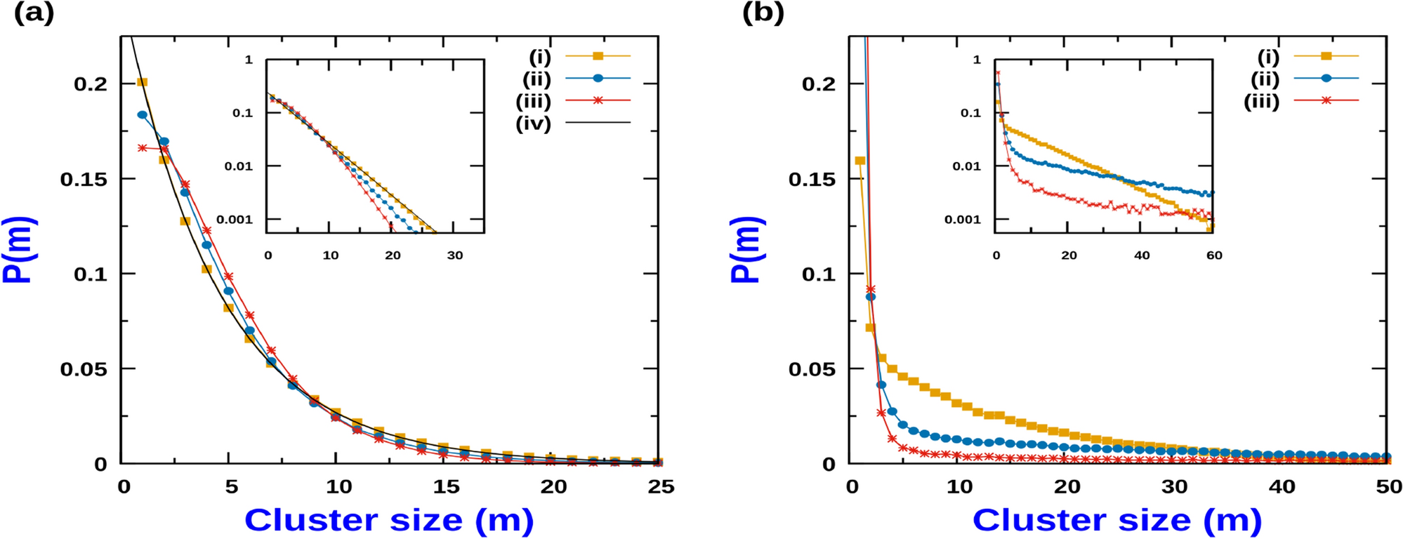
Figure 4
From: Effect of contact inhibition locomotion on confined cellular organization

(a) Cluster size (m) probability distribution in the low Q regime; \(Q = 0.1\) for different CIL strength: (i) \(J_1 = 0.1\), (ii) \(J_1 = 3\), (iii) \(J_1 = 7\), (iv) Eq. (9) (Probability density function for TASEP and SEP). (b) Cluster size (m) probability distribution in the high Q regime; \(Q = 30\) for different CIL strength: (i) \(J_1 = 0.1\), (ii) \(J_1 = 3\), (iii) \(J_1 = 7\). The inset figures are the corresponding logplots. In all cases, \(J_2 =0\), \(\rho = 0.8\) and \(L=1000\). MC simulations are performed and averaging is done over 2000 samples.