Figure 6
From: Effect of contact inhibition locomotion on confined cellular organization

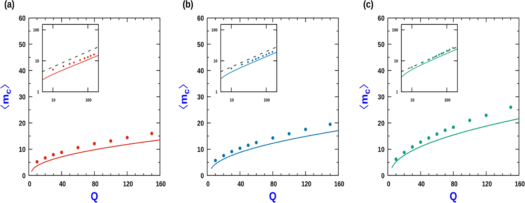
Variation of the average cluster size, \(\langle m_c \rangle\), in the cluster phase as a function of Q: Comparison of the theoretical expression, Eq. (26) ,with MC simulation. (a) \(J_1 = 0\) (No CIL). (b) \(J_1 = 1\) and (c) \(J_1 = 2\). In all cases, \(J_2 = 0\) and \(\rho = 0.5\). Inset figures are the corresponding log-log plots. Solid lines correspond to expression in Eq. (26) while the circles correspond to MC simulations for each case. The dashed lines in the inset log–log plot corresponds to a slope of 1/2. MC simulation done with \(L = 2000\) and averaging was done over 3000 samples.