Figure 7
From: Effect of contact inhibition locomotion on confined cellular organization

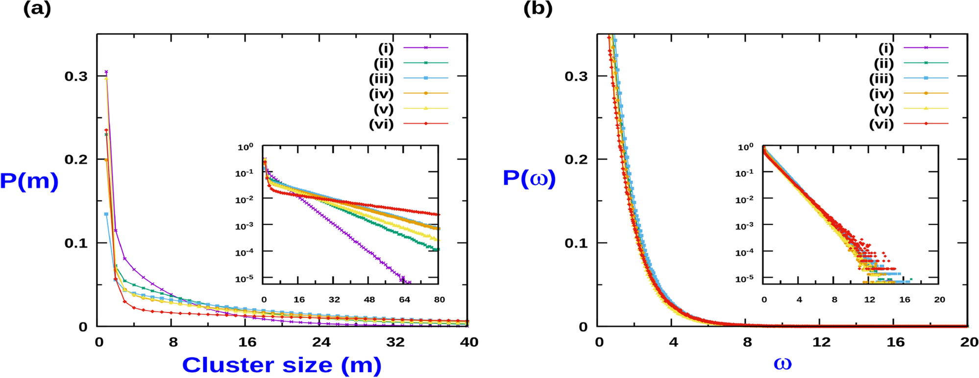
(a) Cluster size (m) probability distribution function in high Q regime for different Q, density and CIL strength : (i) \(J_{1} = 0, Q = 30, \rho = 0.5\), (ii) \(J_{1} = 0, Q = 100, \rho = 0.5\), (iii) \(J_{1} = 0, Q = 60, \rho = 0.8\), (iv) \(J_{1} = 1, Q = 40, \rho = 0.8\), (v) \(J_{1} = 1, Q = 100, \rho = 0.5\), (vi) \(J_{1} = 2, Q = 80, \rho = 0.8\). Inset figures are the corresponding log plots. (b) Probability distribution in terms of scaled variable \(\omega =m \left( \frac{1- \rho }{Q\rho }\right) ^{\frac{1}{2}} e^{- J_{1}/4}\), for the same set of plots as in (a). Inset figures are the corresponding log plots. For all cases, \(J_2 = 0\). MC simulations were done with \(L = 5000\) and averaging was done over 10,000 samples.