Figure 1
From: Ambipolar surface conduction in oxygen sub-stoichiometric molybdenum oxide films

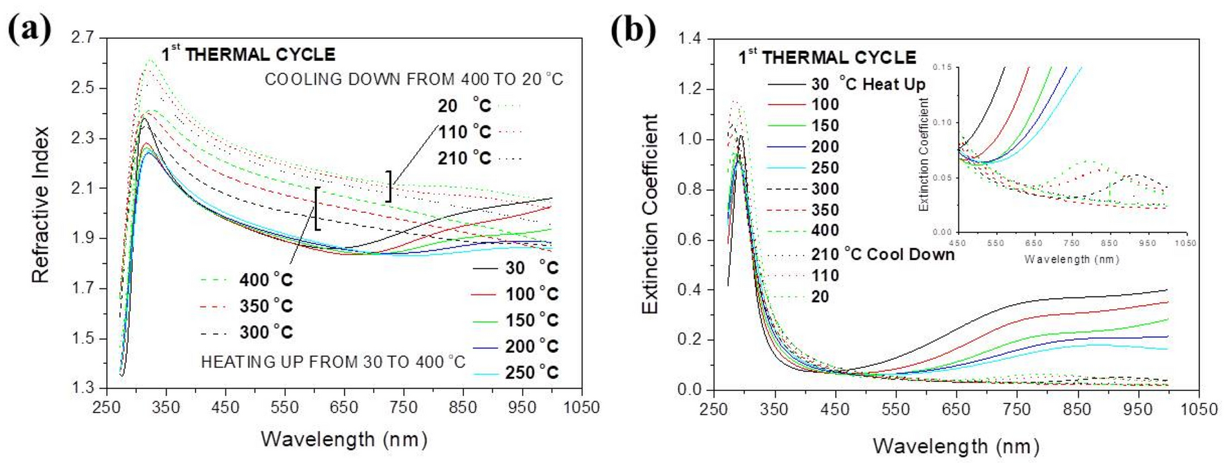
Temperature evolution of the dispersions of (a) the refractive index and (b) the extinction coefficient of an initially amorphous and sub-stoichiometric molybdenum oxide film during the first thermal cycle. The evolution of EC during heating above 300 °C and during cooling down to room temperature is shown at the insert of (b).