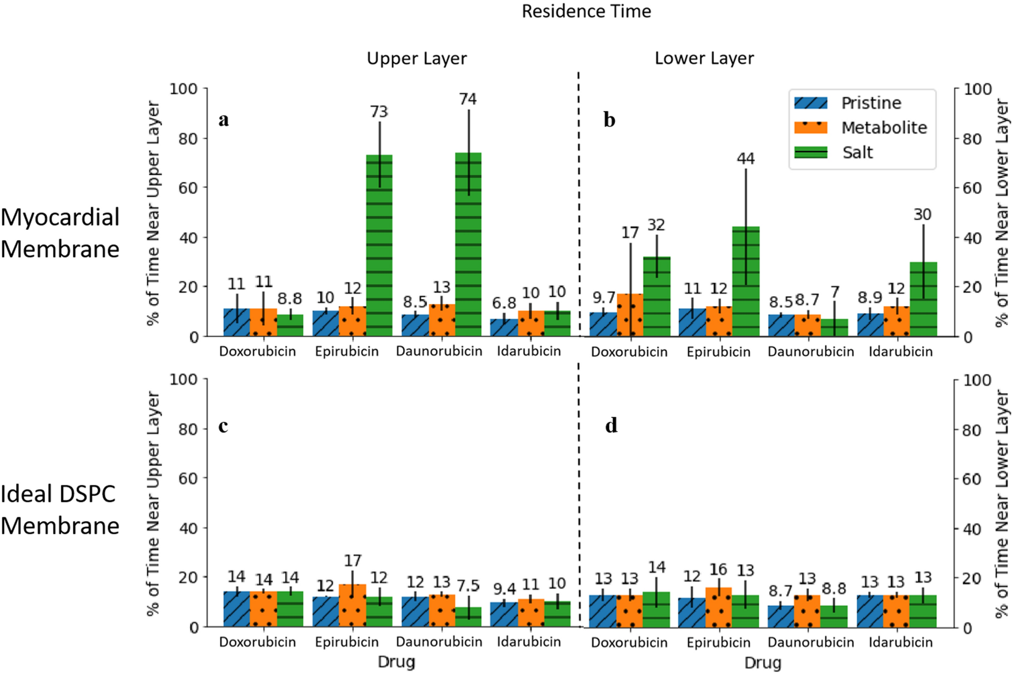
Figure 2

Residence time of each anthracycline molecule near the myocardial membrane’s surfaces and the ideal DSPC membrane’s surfaces. Percentage of time spent near (a) the upper layer of myocardial membrane, (b) the lower layer of myocardial membrane, (c) the upper layer of ideal DSPC membrane, and (d) the lower layer of ideal DSPC membrane. The error bars represent the standard deviation which is calculated by dividing last 800 ns of the trajectory into 4 blocks.