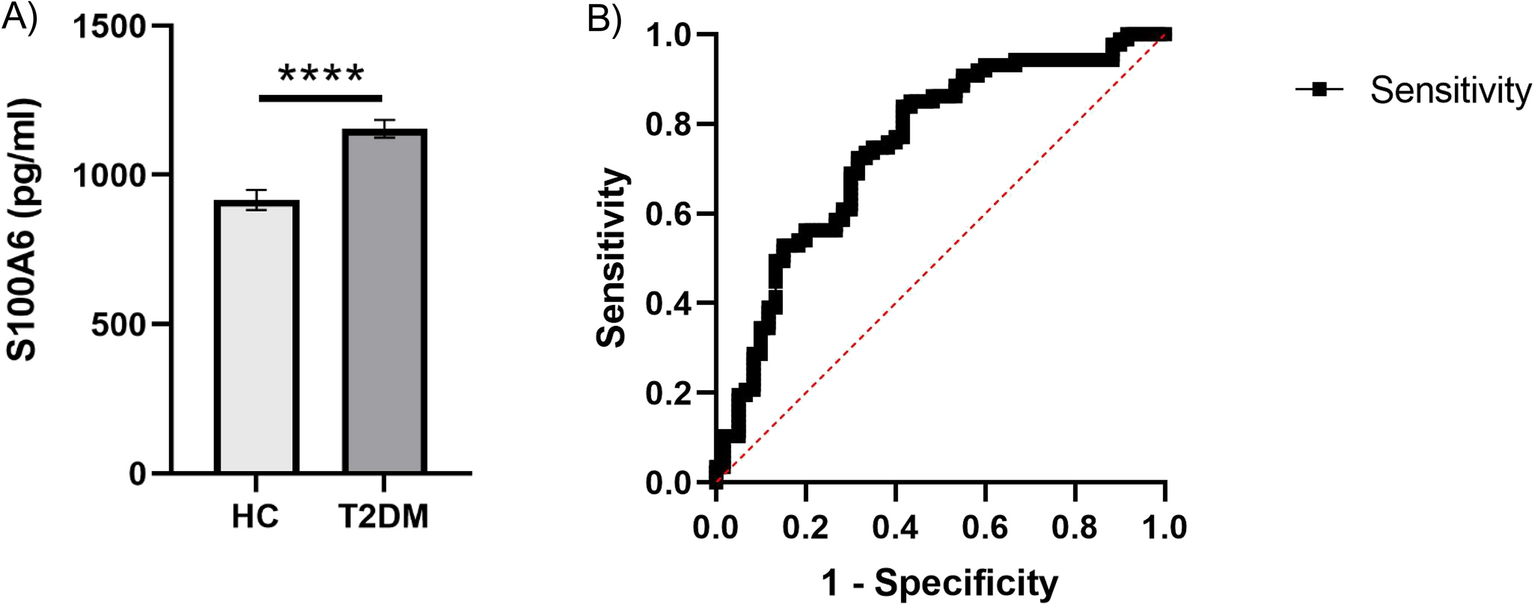
Figure 8

(A) S100A6 protein concentration in serum. The horizontal axis represents the control group (n = 60) and the T2DM group (n = 87). The y-axis indicates the concentration of S100A6. Values are shown as the mean ± SEM; *P < 0.05. (B) ROC curve analysis of validated differentially expressed protein (S100A6). ROC‑AUC of S100A6 was 0.7487 (0.6668 to 0.8305, P < 0.0001).