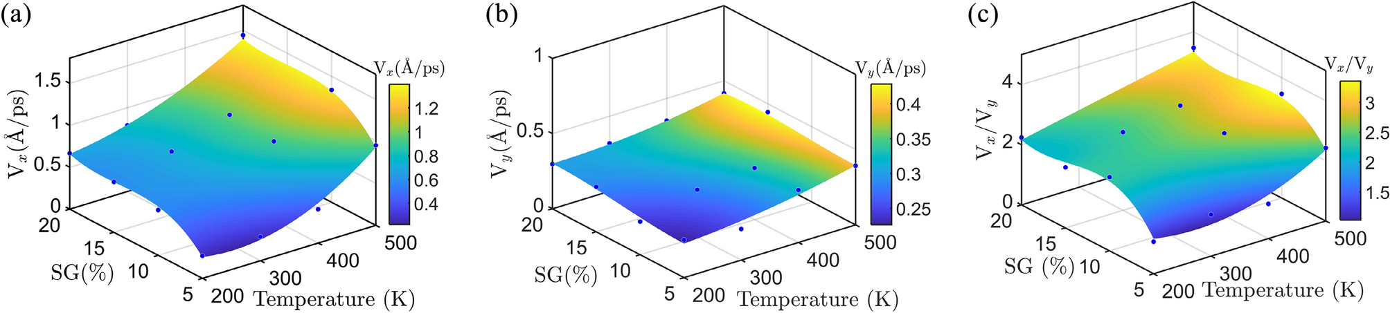
Figure 5
From: Toward steering the motion of surface rolling molecular machines by straining graphene substrate

The root mean square velocities of nanotruck in the directions of (a) \(x\)-axis, (b) \(y\)-axis and (c) their ratio, at various temperatures and strain gradients of substrate.