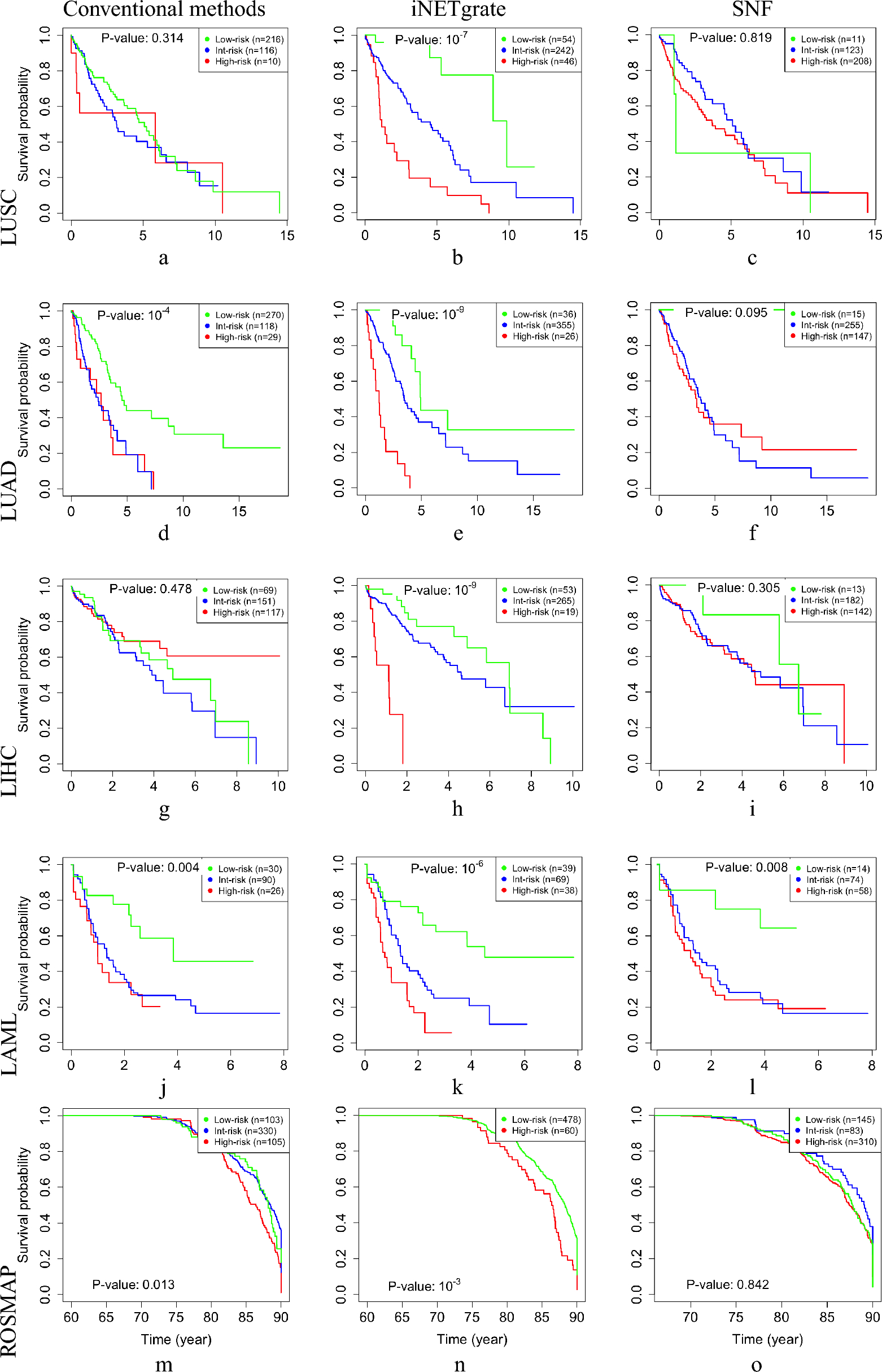
Figure 2

The Kaplan–Meier49(KM) curves for all dataset. The log-rank \(p\)–values indicate that differences between the low-risk group (green) and the high-risk group (red) using clinical criteria (a, d, g, j, m), iNETgrate (b, e, h, k, n), and SNFtool (c, f, i, l, o). In all datasets (on rows), using iNETgrate, the middle column, resulted in a significantly smaller p-values compared with the conventional classification methods in clinics (left column) and an integrative network method of SNFtool (right column).