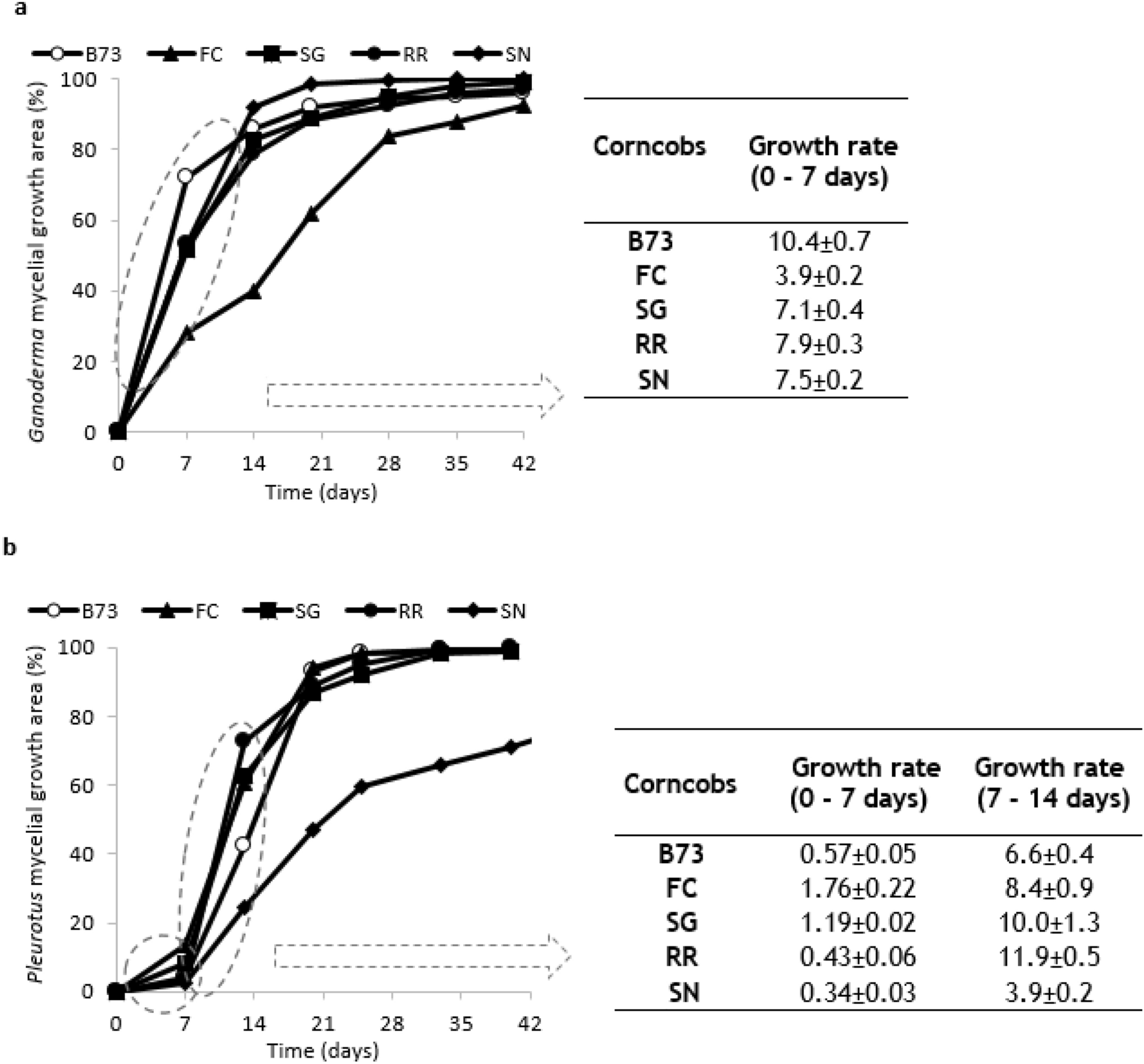
Figure 3

(a) Ganoderma and (b) Pleurotus mycelial growth area (MGA, %) over time (days) and data extrapolated from the growth curves obtained by SSFs Image Analysis, as the slope (angular coefficient) of the linear curve in the interval 0–7 days for Ganoderma, as well as 0–7 and 7–14 days for Pleurotus. MGA values reported as means (n = 2), CV ≤ 10; slopes reported as means ± SD (n = 2).