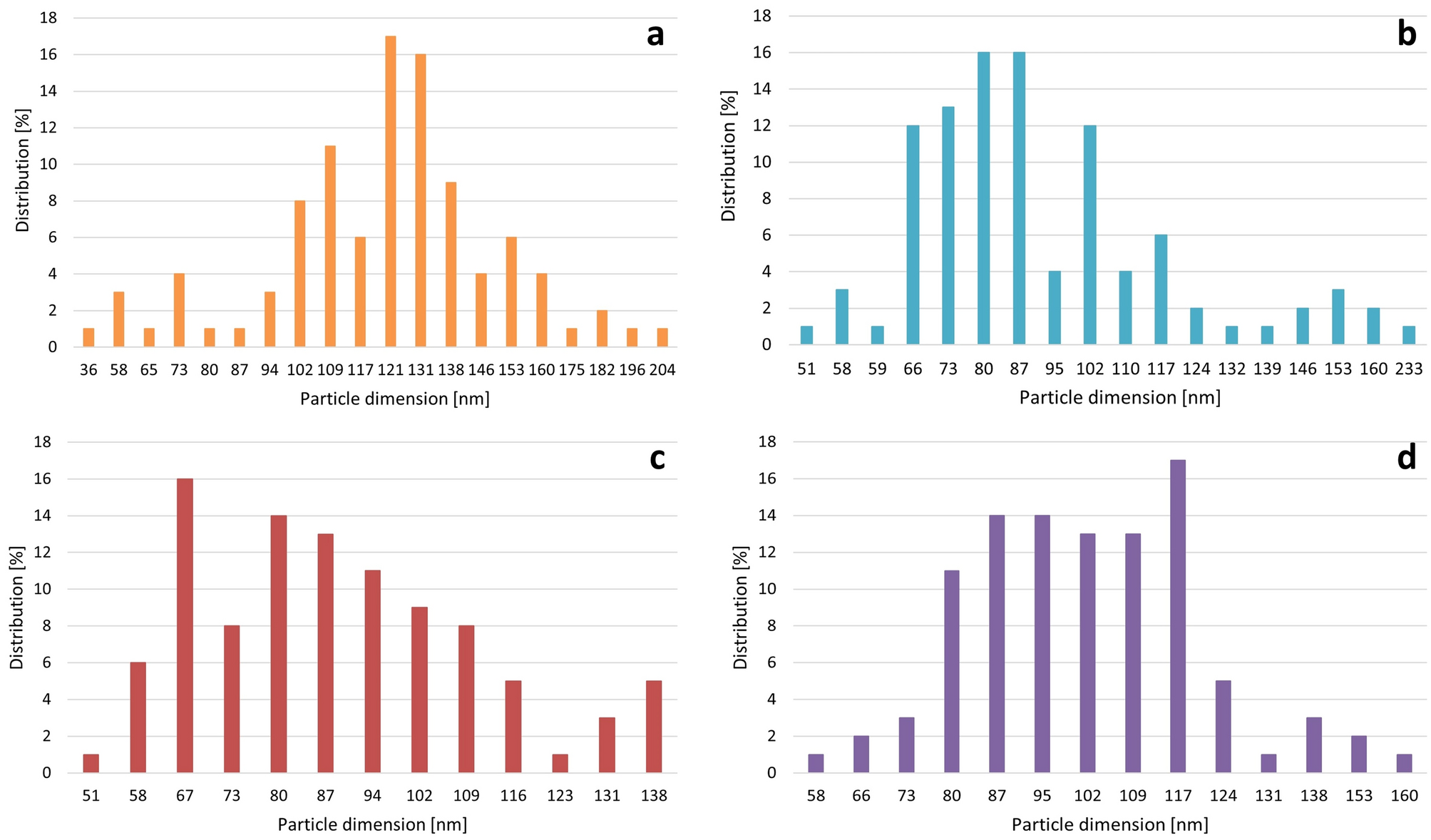
Figure 3

Distribution of diameter sizes of synthesized AgNPs: (a) 28n AgNPs, (b) 28 s AgNPs, (c) 4 ns AgNPs, and (d) 4 s AgNPs. Diameter sizes are given in nanometers.

Distribution of diameter sizes of synthesized AgNPs: (a) 28n AgNPs, (b) 28 s AgNPs, (c) 4 ns AgNPs, and (d) 4 s AgNPs. Diameter sizes are given in nanometers.