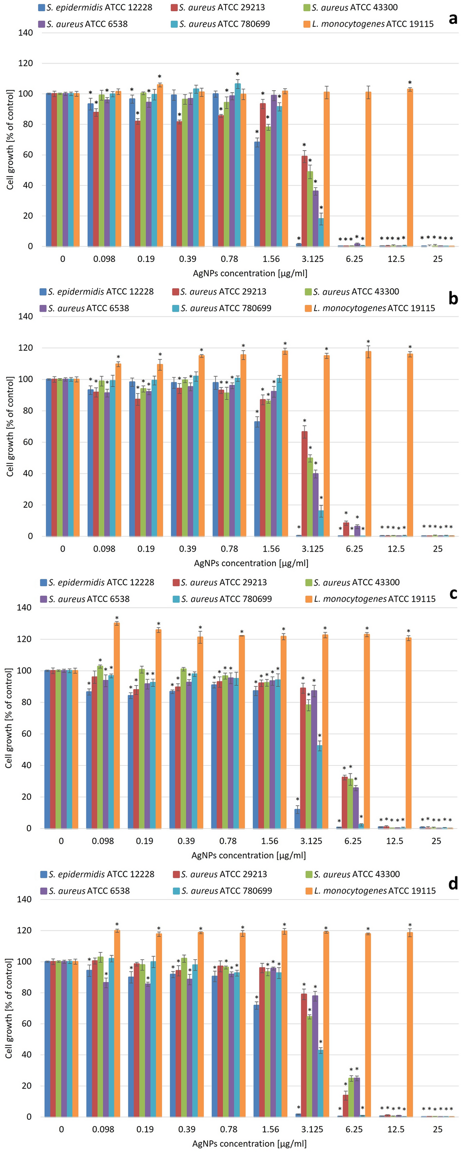
Figure 4

Antibacterial activity of obtained AgNPs against Gram-positive bacteria strains: (a) 28 ns AgNPs, (b) 28 s AgNPs, (c) 4 ns AgNPs, and (d) 4 s AgNPs. The results are shown as average percentage values with standard deviations of optical density (OD) of the biotic control. The statistical significance was estimated using a one-way analysis of variance (ANOVA) test with * p < 0.05 and is shown by an asterisk.