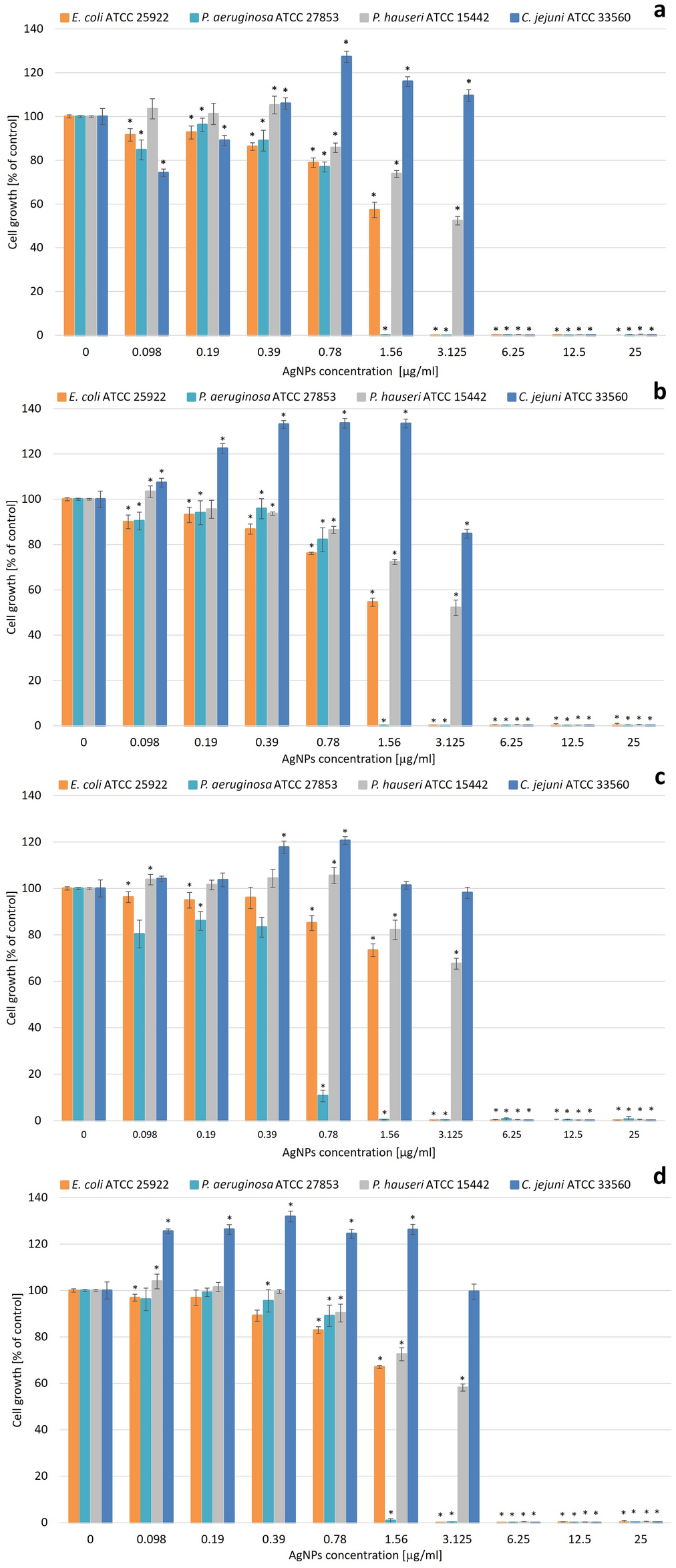
Figure 5

Antibacterial activity of synthesized AgNPs against Gram-negative bacteria strains: (a) 28 ns AgNPs, (b) 28 s AgNPs, (c) 4 ns AgNPs, and (d) 4 s AgNPs. The results are shown as average percentage values of optical density (OD) of the biotic control with standard deviations. The statistical significance was estimated using a one-way ANOVA test with * p < 0.05 and is shown as an asterisk.