Figure 16
From: CFD estimation of gas production in tight carbonates using single and dual-porosity models

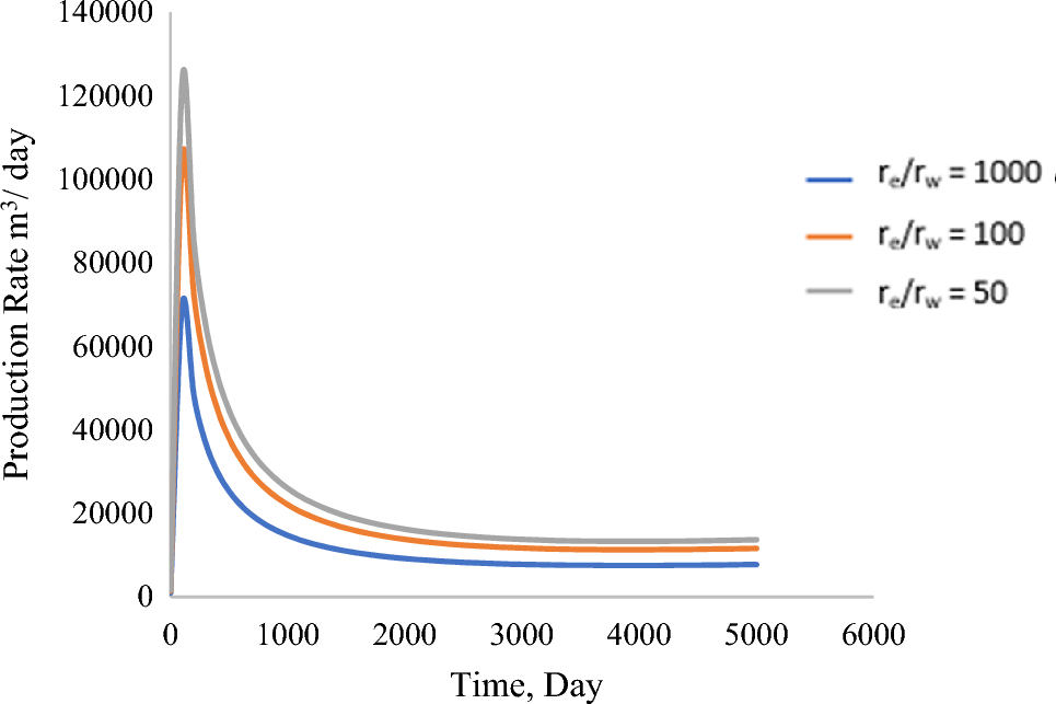
Production profile based on the change in the ratio of drainage radius and wellbore radius (re/rw).
From: CFD estimation of gas production in tight carbonates using single and dual-porosity models

Production profile based on the change in the ratio of drainage radius and wellbore radius (re/rw).