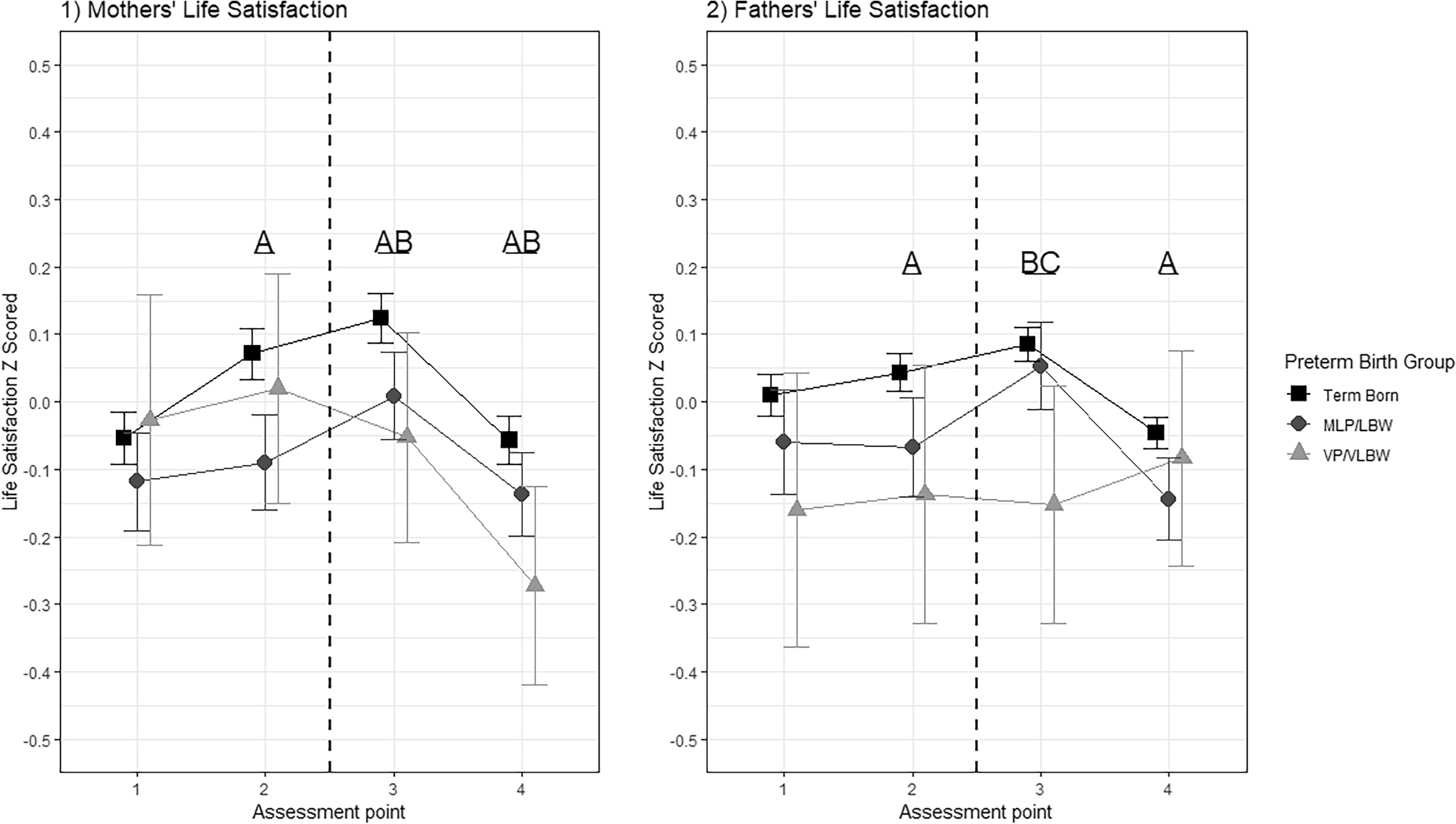
Figure 1
From: Parents’ life satisfaction prior to and following preterm birth

Estimated Marginal Means of Life Satisfaction for Mothers (left) and Fathers (right). Note. Letters indicate where the contrast analysis of marginal means was significant at p < 0.05, adjusted for multiple comparisons using the FDR correction. A = Term born vs MLP/LBW, B = Term born vs VP/VLBW, C = MLP/LBW vs VP/VLBW. The dashed line indicates the birth occurring. Assessment points 1, 2, 3 and 4 are 2 years before birth, 6 months before birth, 6 months after birth and 2 years after birth respectively.