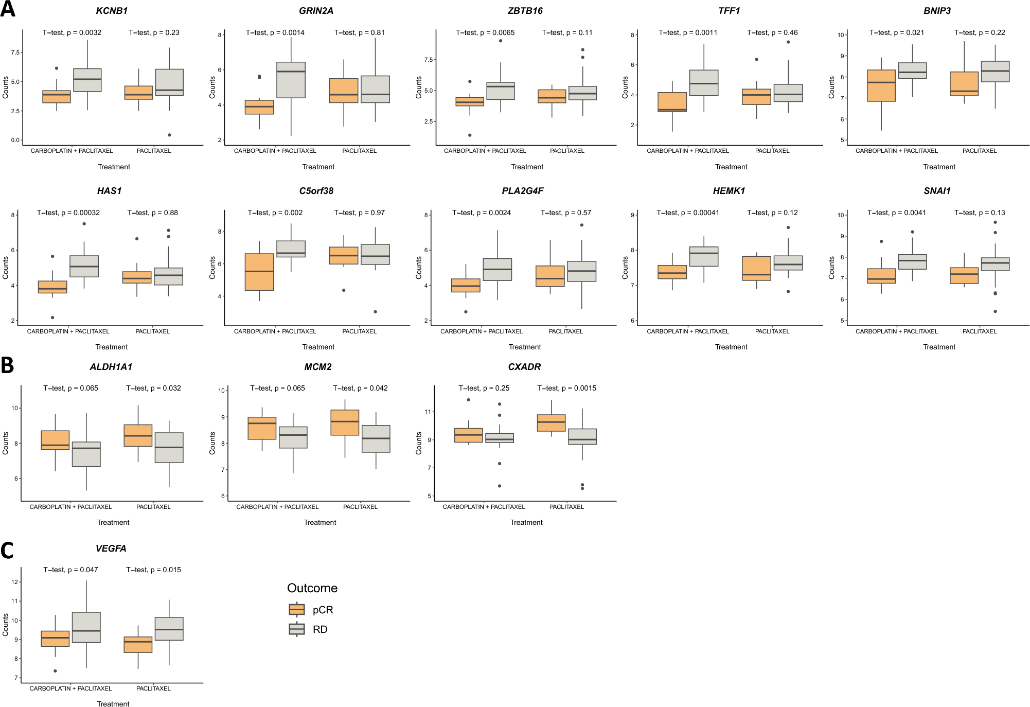
Figure 2

Boxplot genes predictive of pCR (only those that achieved statistical significance in each study arm in the first analysis). Patients who achieved pCR are identified in orange, and those who had residual disease are identified in gray. (A) Differentially expressed genes in the carboplatin + paclitaxel arm. (B) Differentially expressed genes in the paclitaxel arm. (C) Differentially expressed genes in both treatment arms. pCR pathological complete response, RD residual disease.