Figure 8
From: Defect modes in defective one dimensional parity-time symmetric photonic crystal

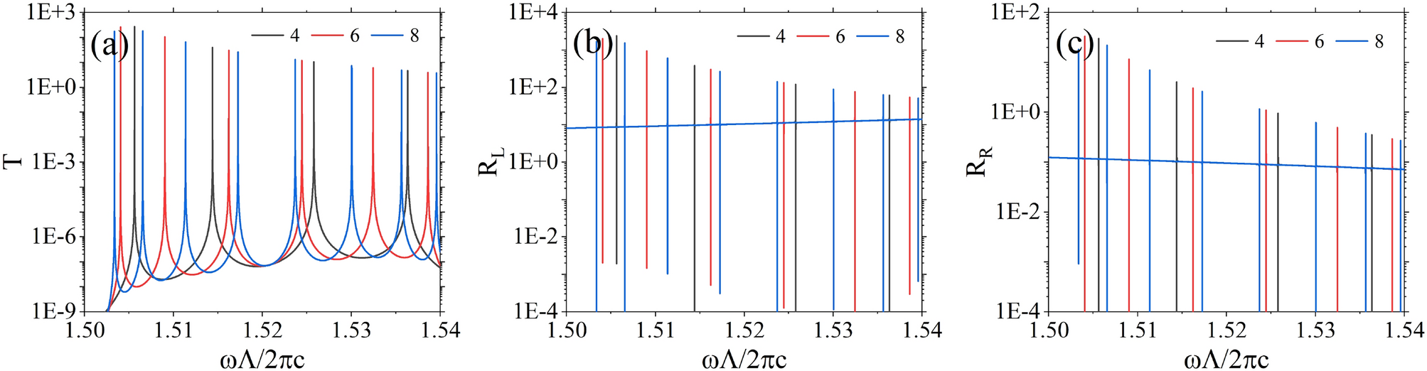
Transmittivity spectra (a), reflectivity spectra for left incidence (b) and right incidence (c) for different numbers of defect layers. The parameters of the defect layers, as well as the parameters of the photonic crystal, are the same as those in Fig. 2.