Figure 2
From: A real-world study on the effectiveness of BBIBP-CorV and CoronaVac in Nanjing area

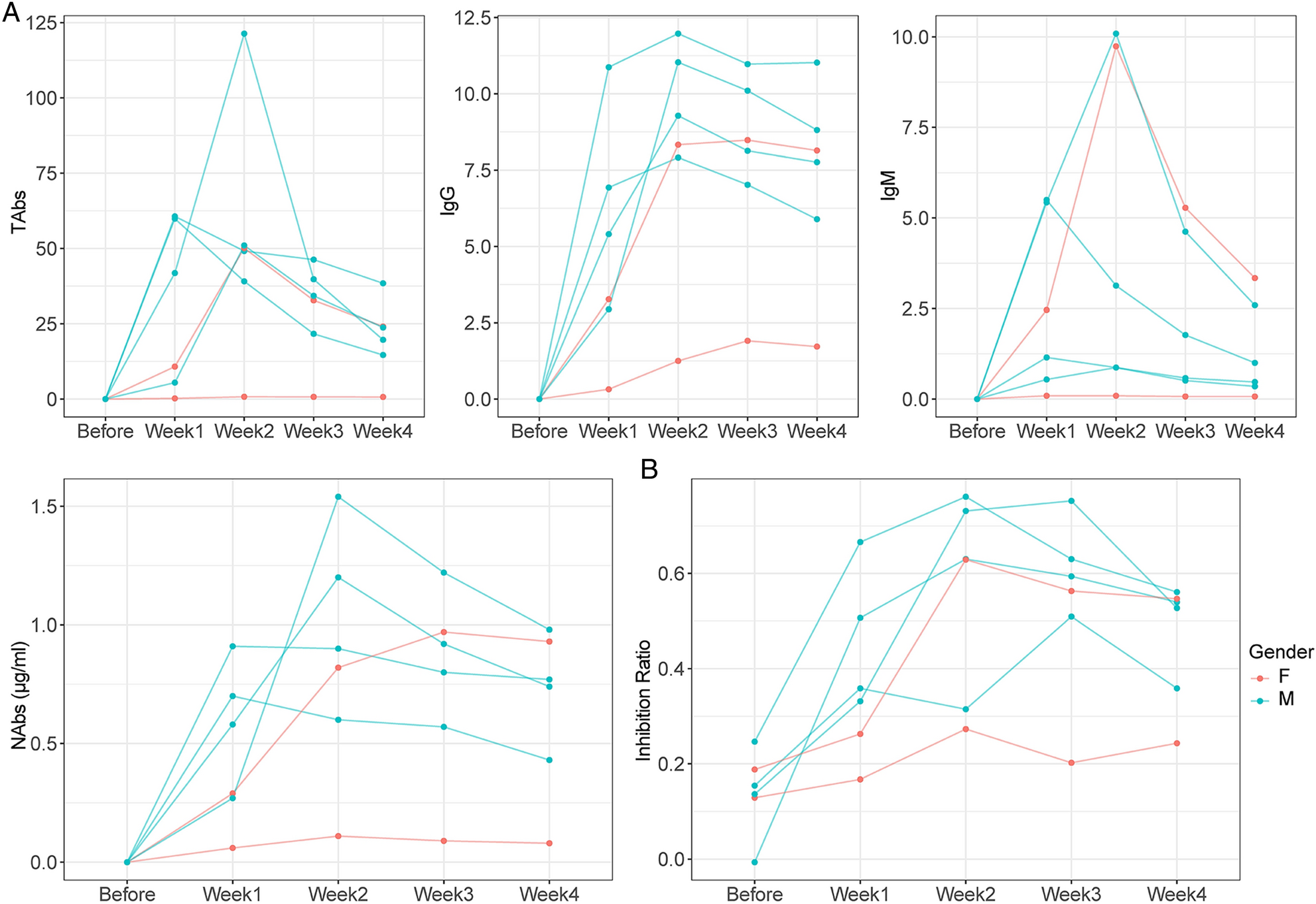
Dynamics of antibody response to vaccination of 6 participants. (A) The antibody [TAbs (S/CO), NAbs (concentration), IgG (S/CO), IgM (S/CO) and IgA (S/CO)] levels induced by 2 doses of SARS-CoV-2 vaccines at several time points as before vaccination, 1 week, 2 weeks, 3 weeks, 4 weeks after vaccination; (B) Changes of inhibition ratio of the NAbs at various time points. Inhibition Ratio, inhibition ratio of the NAbs; F, female; M, male. TAbs, total antibodies; NAbs, neutralizing antibodies.