Figure 2
From: Characterization of heterozygosity-rich regions in Italian and worldwide goat breeds

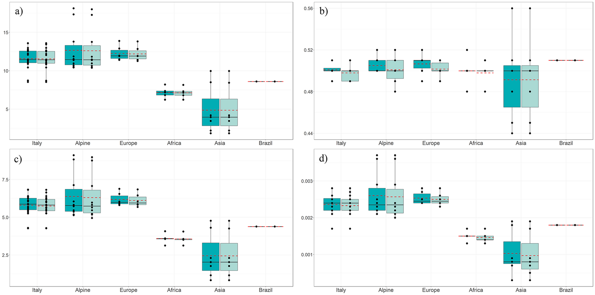
Boxplots of the Heterozigosity-rich regions (HRR) indices aggregated by geographic area. (a) NHRR = average number of HRR per breed, (b) LHRR = average length of HRR per breed (in Mbp), (c) SHRR = mean genome length covered by HRR segments (in Mbp), (d) DHRR = average coefficient of diversity. The different colors indicate the two approaches, CR (blue) and SW (light blue). Each boxplot extends from the 25th to the 75th percentile and shows the average (red dashed line) and the median (black horizontal line) group value. The black dots represent the single-breed results.