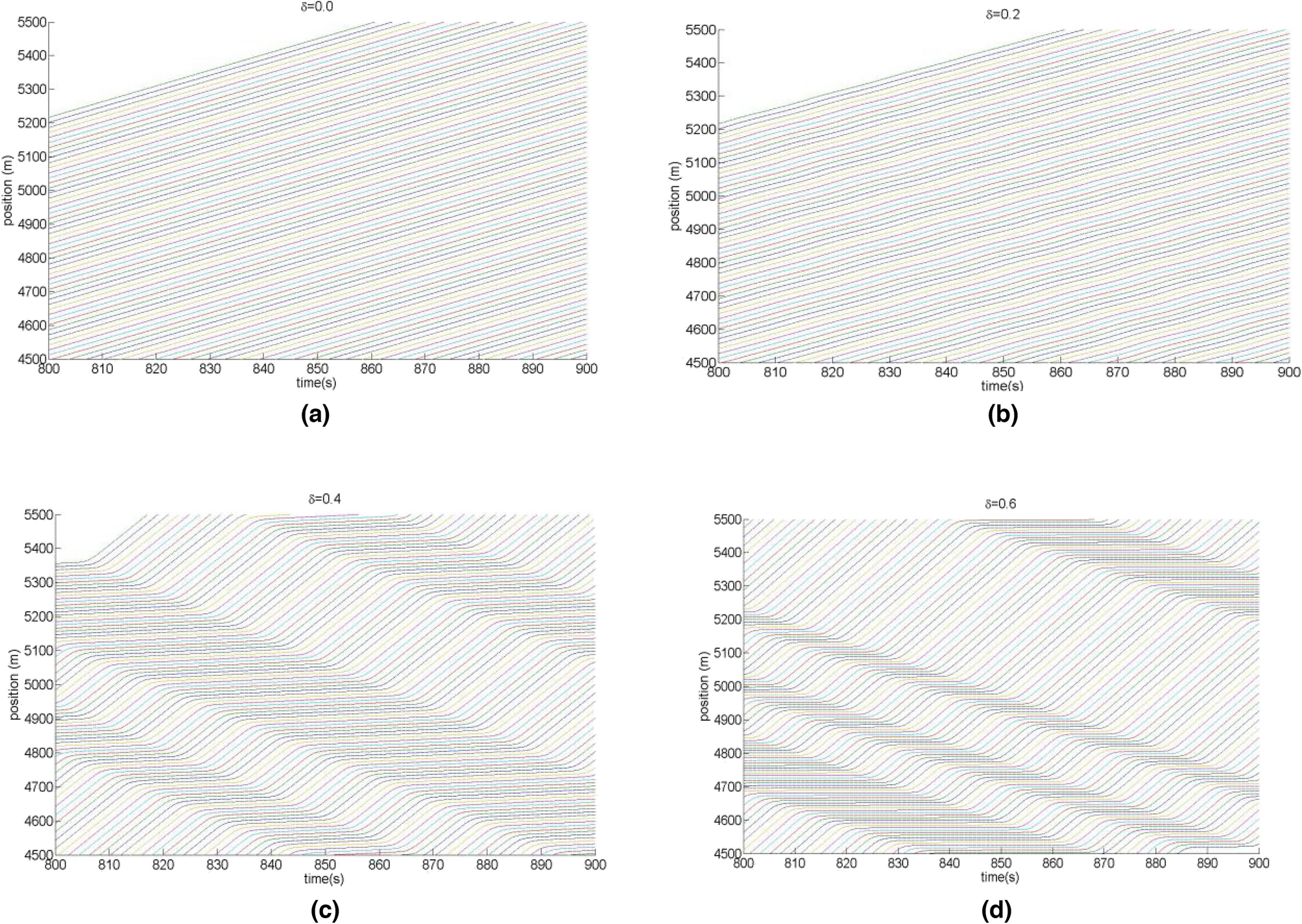
Figure 5
From: Vehicle-to-vehicle cooperative driving model considering end-to-end delay of communication network

Spatio-temporal evolution of the CD and OV model during the time step of 800–900 corresponding to different end-to-end delays of of communication network, where figures (a–d) correspond to \(\delta\) = 0, 0.2, 0.4 and 0.6, respectively.