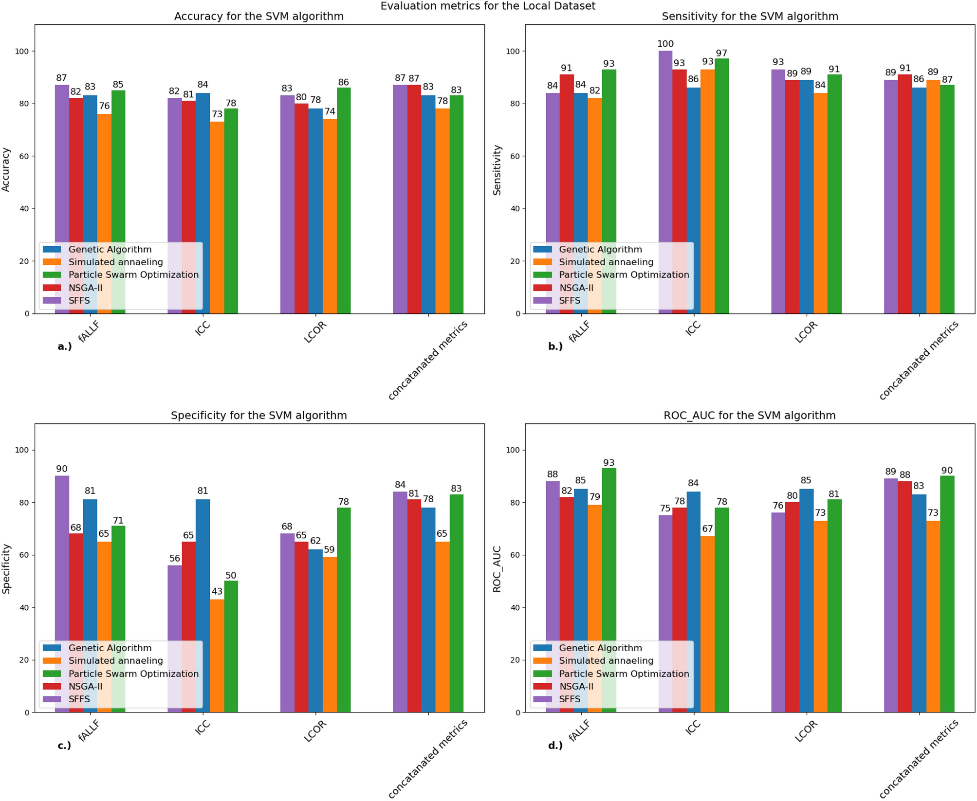
Figure 3

Performance metrics of the SVM classifier for all five algorithms for our local dataset: A bar chart that shows (a) the mean accuracy, (b) sensitivity, (c) specificity and (d) ROC-AUC scores for each algorithm calculated from the tenfold cross-validation for the SVM classifier. The best results were acquired when we combined the three metrics where two algorithms (SFFS, NSGA-II) managed to achieve 87% accuracy. SVM support vector machine, ICC intrinsic connectivity, LCOR local correlation, fALFF fractional amplitude of low frequency fluctuations, SFFS sequential floating forward selection, NSGA-II non-dominated sorting genetic algorithm concatenated metrics: the three metrics combined resulting in 396 (3 × 132) regions.