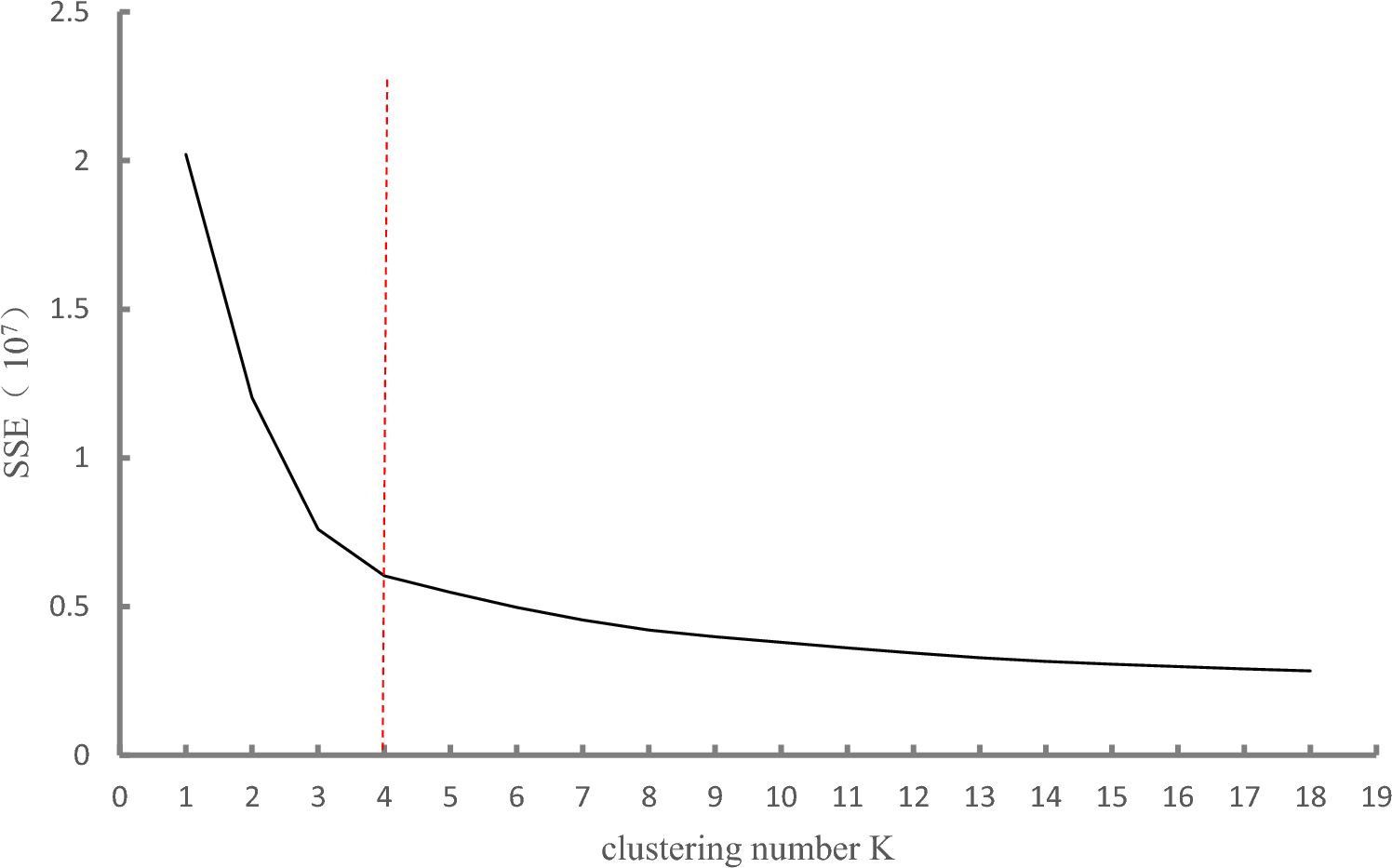
Figure 3

“Elbow” relation between the sum of the squared errors (SSE) and clustering number k. SSE is the clustering error of all samples. With the increase of clustering number k, the aggregation degree of each category will gradually increase, and SSE will become smaller. When k is less than the real cluster number, the increase of k value will greatly increase the aggregation degree of each category, and the corresponding SSE decreases greatly. However, when k reaches the real clustering number, the aggregation degree improved by increasing k becomes smaller rapidly, so SSE tends to get flat with the continuous increase of k value. Therefore, the graph shape of SSE and k resembles "elbow", and the value of k corresponding to the inflection point of the elbow was 4.