Figure 10

Influence of Hall parameter \(\left( {\beta_{e} } \right)\) on (a) velocity \(\left( u \right)\)& (b) concentration \(\left( \phi \right)\).

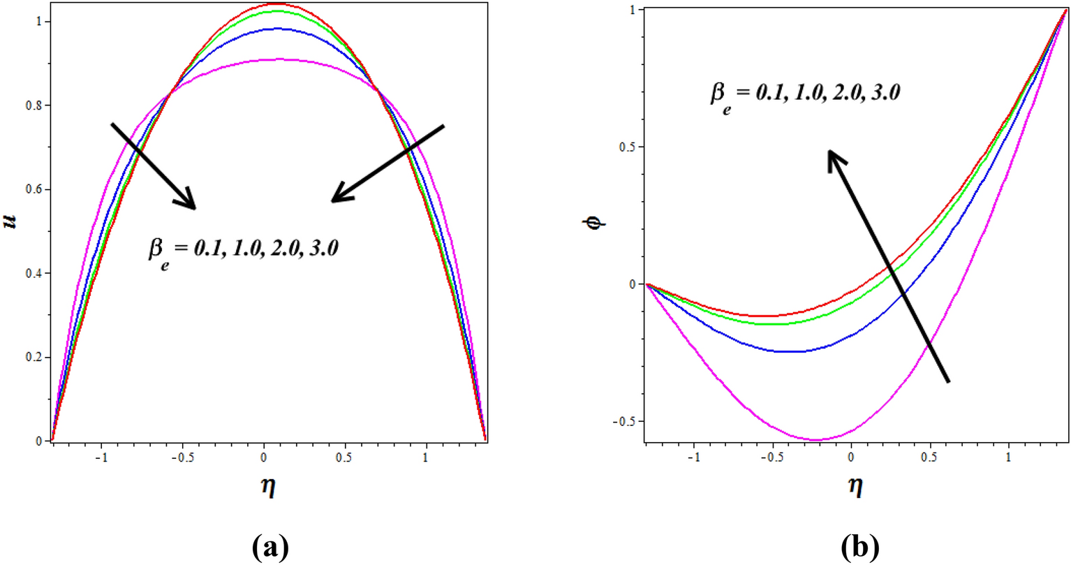
Influence of Hall parameter \(\left( {\beta_{e} } \right)\) on (a) velocity \(\left( u \right)\)& (b) concentration \(\left( \phi \right)\).