Figure 8

Influence of thermophoresis \(\left( {N_{T} } \right)\) on (a) temperature \(\left( \theta \right)\)& (b) concentration \(\left( \phi \right)\).

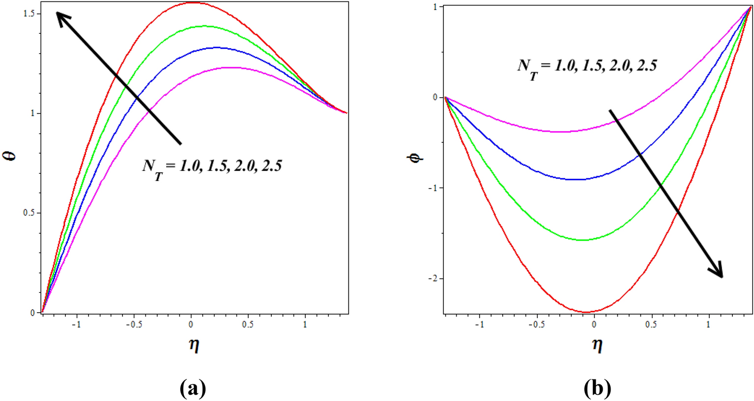
Influence of thermophoresis \(\left( {N_{T} } \right)\) on (a) temperature \(\left( \theta \right)\)& (b) concentration \(\left( \phi \right)\).