Figure 4
From: PKM2 is a potential prognostic biomarker and related to immune infiltration in lung cancer

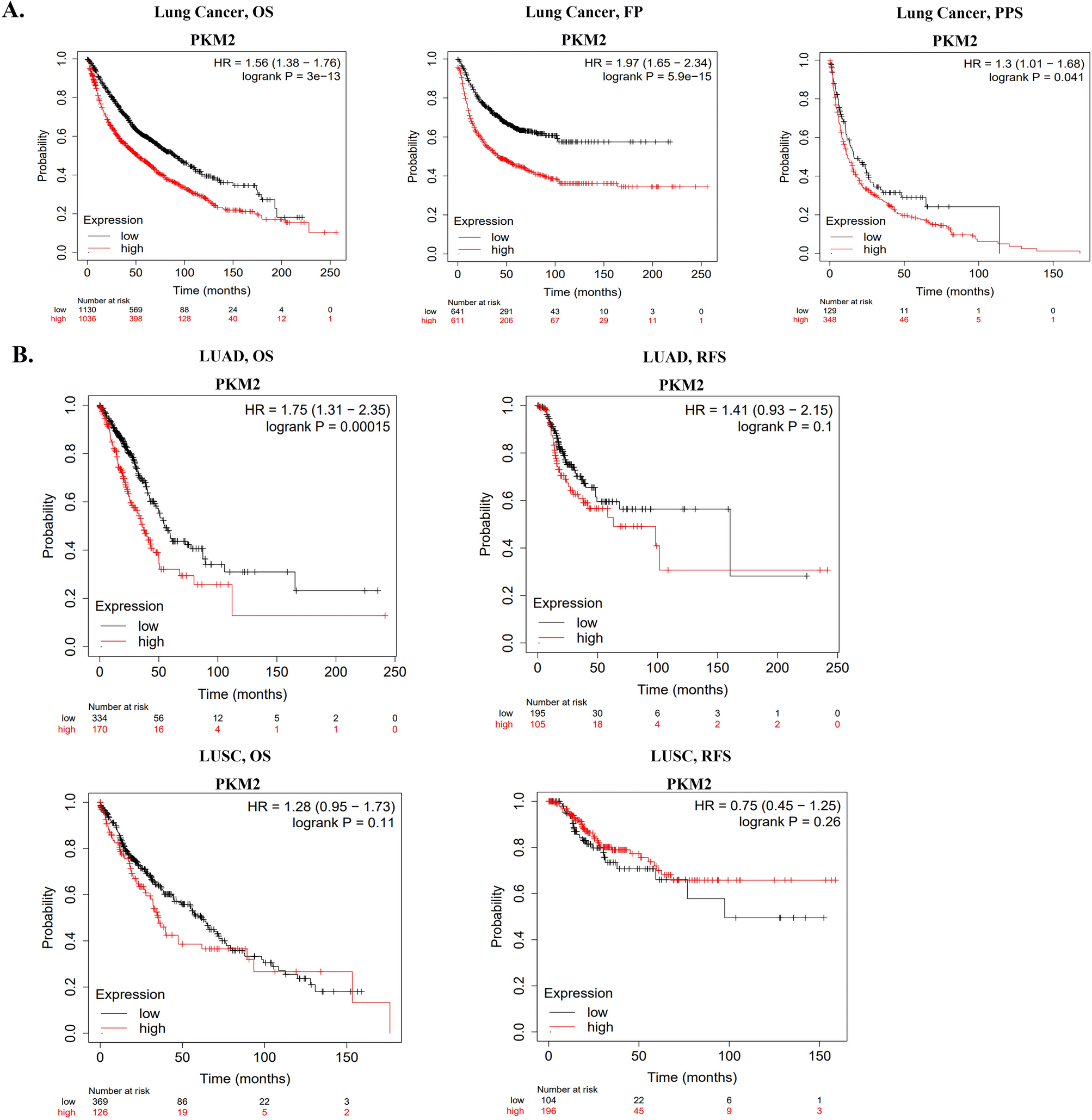
Survival curves for PKM2 in lung cancer using the Kaplan–Meier plotter database. (A) OS, FP, and PPS of lung cancer based on the gene chip data. High expression of PKM2 was correlated with poor OS, FP and PPS. (B) OS and RFS of LUAD and LUSC based on the RNA-seq data.