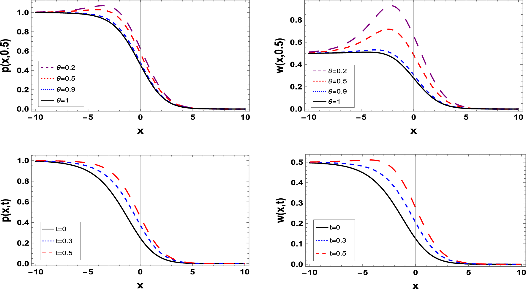
Figure 5

The estimated solution of the TFBZS (Case II) under \(\textsf{C}\) fractional derivative presented in Eq. (67) at \(\delta =2\) and \(\lambda =2\).

The estimated solution of the TFBZS (Case II) under \(\textsf{C}\) fractional derivative presented in Eq. (67) at \(\delta =2\) and \(\lambda =2\).