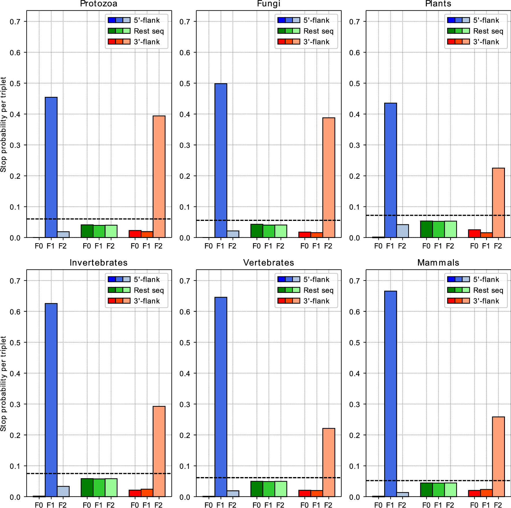
Figure 5

Frequencies of stop signals in the first and last three triplets as well as the remaining sequence for all three frames derived from the introns of genomes of the six clades protozoa, fungi, plants, invertebrates, mammalian vertebrates and non-mammalian vertebrates (Table 1). ‘5′-flank’ (blue) indicates intron positions 1 to 3, 2 to 4 and 3 to 5. ‘3′-flank’ (red) indicates intron positions n − 4 to n − 2, n − 3 to n − 1 and n − 2 to n. ‘Rest seq’ (green) indicates the average stop signal frequency in the intermediate intron sequences between both flanks from positions 6 to n − 5. ‘F0’ − ‘F2’ indicate the frames. The dashed line indicates the probability calculated with Eq. (4) given the average GC content of each in-between sequence averaged over all sequences. For the numerical data, see Supplement S3.