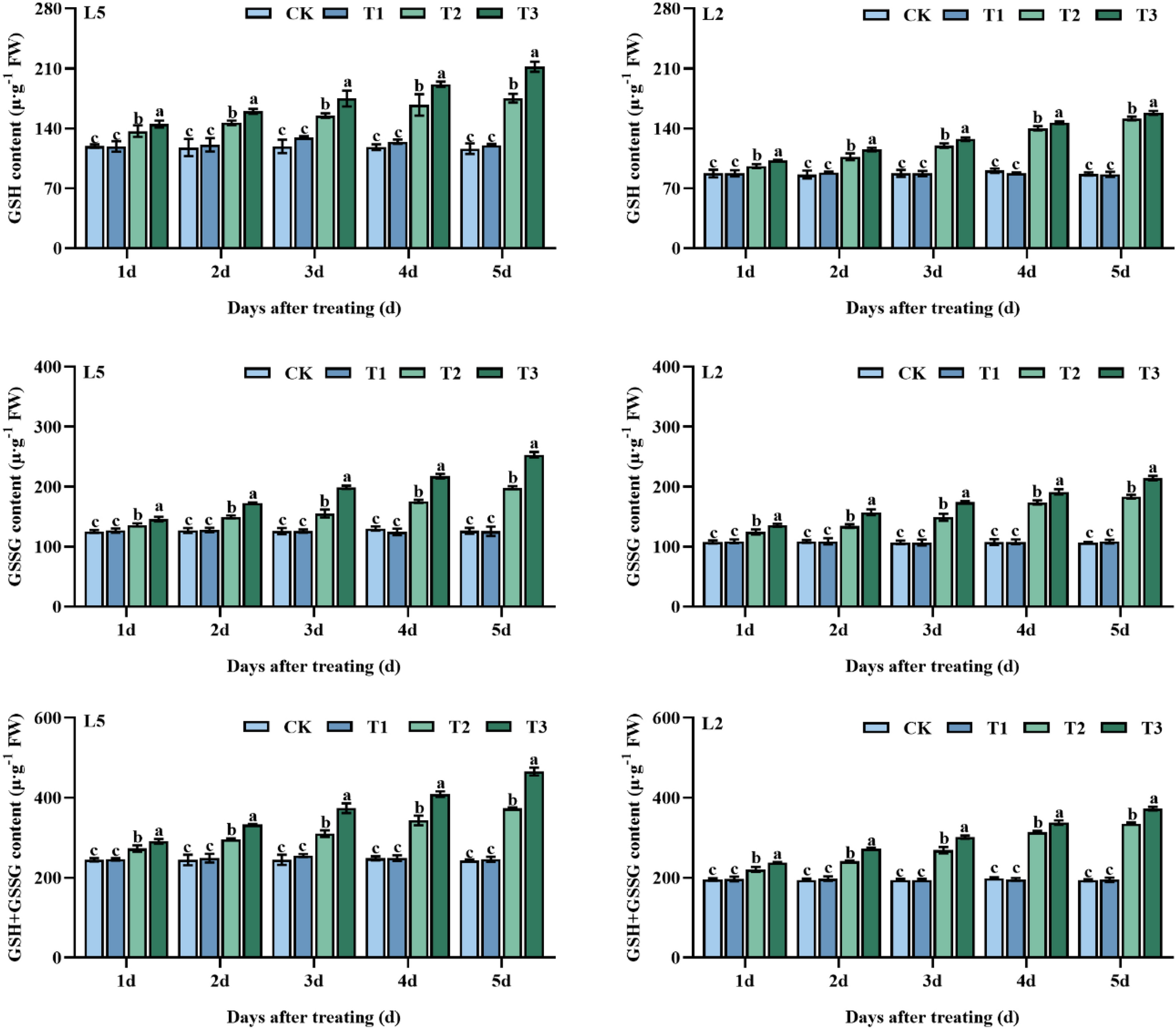
Figure 5

Effect of spraying exogenous S3307 on glutathione content of mung beans leaves under chilling stress at flowering stage; CK, plant grown in natural environment + spraying H2O; T1, plant grown in natural environment + spraying S3307; T2, plant grown in Average 12 °C + spraying H2O; T3, plant grown in Average 12 °C + spraying exogenous S3307.