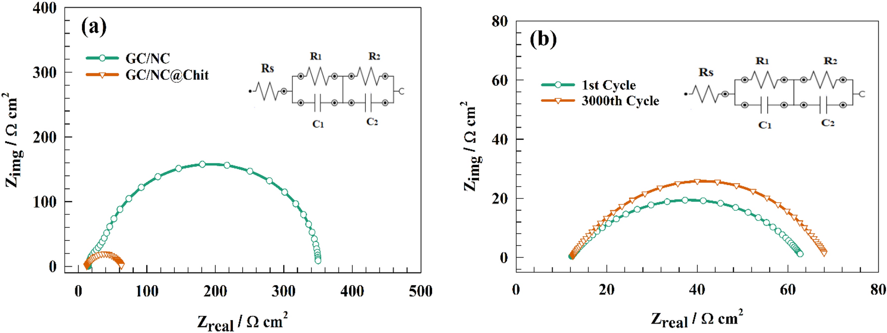
Figure 8

(a) Representation of EIS plot of NC and NC@Chit surfaces at constant potential equal 1.4 V. (b) Nyquist plot of the modified GC/NC@Chit after 3000th GCD cycles.

(a) Representation of EIS plot of NC and NC@Chit surfaces at constant potential equal 1.4 V. (b) Nyquist plot of the modified GC/NC@Chit after 3000th GCD cycles.